Retirement Benefits Regulations 1994
I, the Lieutenant-Governor in and over the State of Tasmania and its Dependencies in the Commonwealth of Australia, acting with the advice of the Executive Council, make the following regulations under the Retirement Benefits Act 1993 .
15 April 1994G. S. M. GREEN
Lieutenant-Governor
By His Excellency's Command,
TONY RUNDLE
Treasurer
PART 1 - Preliminary
These regulations may be cited as the Retirement Benefits Regulations 1994 .
These regulations take effect on 1 July 1994 but only if a notice in the Gazette has been published to the effect that the regulations have been approved by both Houses of Parliament under section 29 of the Retirement Benefits Act 1993 .
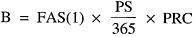
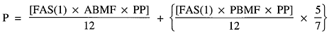
(1) In these regulations Act means the Retirement Benefits Act 1993 ;[Regulation 3 Subregulation (1) amended by No. 18 of 1999, s. 48, Applied:14 May 1999][Regulation 3 Subregulation (1) amended by No. 18 of 1999, s. 48, Applied:14 May 1999] Actuary means a person who is a Fellow of the Institute of Actuaries (Australia), the Institute of Actuaries (London) or the Faculty of Actuaries (Edinburgh) appointed under regulation 12 or an organisation that is so appointed;[Regulation 3 Subregulation (1) amended by No. 18 of 1999, s. 48, Applied:14 May 1999] additional employer contributions means employer contributions paid by an Agency on behalf of an eligible employee or contributor as mentioned in regulation 61A(1) ;age for retirement means age 65 years;Agency means (a) a Government department or an organization specified in column 1 of Schedule 1 to the State Service Act; or(b) [Regulation 3 Subregulation (1) amended by No. 18 of 1999, Sched. 4, Applied:14 May 1999] a prescribed authority that is not such an organization; or(c) the controlling authority of any industry or undertaking carried on by or on behalf of the State; or(d) [Regulation 3 Subregulation (1) amended by No. 18 of 1999, Sched. 4, Applied:14 May 1999] where the services of a prescribed authority are transferred to another person or organization or another prescribed authority, the person, organization or authority responsible for payment of contributions to the Fund in respect of contributors or eligible employees;[Regulation 3 Subregulation (1) amended by No. 18 of 1999, s. 48, Applied:14 May 1999] allocated pension means a pension payable from an allocated pension account;[Regulation 3 Subregulation (1) amended by No. 18 of 1999, s. 48, Applied:14 May 1999] allocated pension account means an account established under regulation 65 ;amalgamated contributor means a person who under the Retirement Benefits (Transitional) Regulations 1994 continues to contribute to the Fund on the amalgamation basis;amalgamation basis means the basis of contributions provided by clause 4 of Schedule 3 to the repealed Act;[Regulation 3 Subregulation (1) amended by No. 18 of 1999, s. 48, Applied:14 May 1999] assessment notice means a notice issued by the Taxation Commissioner requiring the payment of an amount of surcharge contributions tax including interest on that payment, in respect of any person and includes (a) a notice that has been issued in respect of superannuation contributions transferred to the Board under these regulations; and(b) an amendment to that notice issued by the Taxation Commissioner;[Regulation 3 Subregulation (1) amended by S.R. 1995, No. 35, Applied:28 Jun 1995] AWOTE means the original estimates series of average weekly ordinary time earnings of full-time adult employees in Australia published by the Australian Statistician under the Census and Statistics Act 1905 of the Commonwealth;basic contribution rate means (a) in respect of a contributor to whom regulation 26(1)(d) and (e) refer who is not an amalgamated contributor, a rate of contribution equal to 5% of salary; or(b) in respect of an existing contributor, a contribution rate equal to 5% of salary or, if the existing contributor was making contributions under the repealed Act at the rate of 2.75%, a contribution rate equal to 2.5% of salary; or(c) in respect of a provident fund contributor, a rate of contribution equal to 7.5% of salary; or(d) in respect of an amalgamated contributor, a rate of contribution equal to the sum of (i) the contribution payable by the contributor as at 30 June 1982; and(ii) 5% of any salary increase received by him or her after 1 July 1982;basic pension rate means the rate at which a pension was payable when it came into force;benefit multiple factor means the benefit multiple factor derived in accordance with regulation 33 ;[Regulation 3 Subregulation (1) amended by No. 18 of 1999, s. 48, Applied:14 May 1999] Commonwealth surcharge Act means an Act of the Commonwealth, as amended, which imposes a surcharge liability or relates to any such liability;complying superannuation scheme means a superannuation scheme that is, or is taken to be, a complying superannuation fund for the purposes of Part IX of the Income Tax Assessment Act 1936 of the Commonwealth;[Regulation 3 Subregulation (1) amended by No. 18 of 1999, s. 48, Applied:14 May 1999] compulsory preservation account means an account established under regulation 63 ;contract employee means an employee who is appointed and employed on terms and conditions specified in a contract of service;contravene includes fail to comply with;contributions means contributions excluding voluntary contributions paid or payable under these regulations to the Fund, less any amount deducted from those contributions as provided by these regulations;contributor means (a) an employee who is contributing to the Fund, as required by Part 4 ; or(b) an employee who is required to contribute to the Fund under regulation 20 or 21 but who has not commenced to pay his or her contributions; or(c) an employee who has ceased to contribute to the Fund by reason of his or her age;contributor for full benefits means a contributor whose contributions to the Fund entitle him or her to an invalidity benefit without regard to the length of his or her service and includes a contributor for limited benefits with 10 or more years' service;contributor for limited benefits means a contributor for limited benefits as provided by regulation 22 ;contributor's account means an account established by the Board under regulation 31 for a contributor;[Regulation 3 Subregulation (1) amended by No. 18 of 1999, s. 48, Applied:14 May 1999] contributory scheme means the scheme established under Part 4 ;eligible employee means a person employed in any position or capacity in any industry or undertaking carried on by or on behalf of the State, but does not include (a) a contributor; or(b) [Regulation 3 Subregulation (1) amended by S.R. 1994, No. 178, Applied:01 Jul 1994] persons to whom regulation 4 or 23(4A) applies;eligible employee's account means an account established under regulation 49 in the name of the eligible employee in which his or her contributions are vested;[Regulation 3 Subregulation (1) amended by No. 18 of 1999, s. 48, Applied:14 May 1999] eligible rollover fund has the same meaning as in the Superannuation Industry (Supervision) Act 1993 of the Commonwealth, as amended;[Regulation 3 Subregulation (1) amended by No. 18 of 1999, s. 48, Applied:14 May 1999] eligible termination payment has the same meaning as in the Income Tax Assessment Act 1936 of the Commonwealth, as amended;employee means a person employed in any position or capacity under the State Service Act or in any industry or undertaking carried on by or on behalf of the State, other than a person to whom regulation 4 relates;[Regulation 3 Subregulation (1) amended by S.R. 1996, No. 168, Applied:04 Dec 1996] employment redundancy programme means a programme for the purpose of reducing the level of employment in the public sector declared by the Minister by notice published in the Gazette to be an employment redundancy programme for the purposes of these regulations;existing contributor means a person who, immediately before 1 July 1994, was or is a contributor to the Fund established under the Retirement Benefits Act 1982 , other than an amalgamated contributor or a provident fund contributor;FAS(1) means (a) the average annual salary received by a contributor or eligible employee in relation to the year immediately preceding resignation, death or retirement; or(b) in the case of a contributor or eligible employee whose length of service at the time of his or her resignation, death or retirement is less than 12 months, be read as a reference to the average annual salary received in respect of the actual period of service;FAS(3) means (a) the average annual salary received by a contributor or eligible employee in relation to the period of 3 years immediately preceding resignation, death or retirement; or(b) in the case of a contributor or eligible employee whose length of service at the time of his or her resignation, death or retirement is less than 3 years, be read as a reference to the average annual salary received in respect of the actual period of service;[Regulation 3 Subregulation (1) amended by S.R. 1994, No. 178, Applied:01 Jul 1994] full-time equivalent service means the period of service a person who has been employed on a part-time basis would have attained had that person been employed on a full-time basis;[Regulation 3 Subregulation (1) amended by No. 18 of 1999, s. 48, Applied:14 May 1999] Fund means the Retirement Benefits Fund continued in existence under section 11 of the Act and includes all money received by the Board and all subfunds, accounts, investments, policies of insurance and other assets in which that money is from time to time invested;[Regulation 3 Subregulation (1) amended by No. 18 of 1999, s. 48, Applied:14 May 1999] Government Business Enterprise means a Government Business Enterprise within the meaning of the Government Business Enterprises Act 1995 ;Government department means a department established under section 24 of the State Service Act;half-year means a period of 6 months commencing on 1 January or 1 July in each year;Head of Agency means a Head of Agency referred to in section 28 of the State Service Act;[Regulation 3 Subregulation (1) amended by S.R. 1995, No. 35, Applied:28 Jun 1995] Index means the table described as the "Consumer Price Index Numbers All Groups, All Capital Cities" that is published by the Australian Statistician under the Census and Statistics Act 1905 of the Commonwealth;interim invalidity pensioner means a person who is in receipt of an interim invalidity pension;invalidity means total and permanent incapacity, that is such bodily infirmity, physical incapacity or mental incapacity of such a kind that the Board is satisfied that the employee is, and until age 60 years will continue to be, unfit to work in a position for which the employee is reasonably qualified by education, training or experience and for which he or she may be required to accept;invalidity pensioner means a person who is in receipt of an invalidity pension;investment account means an account established under regulation 60 ;long term bond rate means the rate that, on 15 December, 15 March, 15 June and 15 September in each year, is advised by the Commonwealth as being the weighted average issue yield for the longest term stock in the most recent Treasury bond tender;[Regulation 3 Subregulation (1) amended by S.R. 1996, No. 168, Applied:04 Dec 1996] Minister means the Minister responsible for the administration of the Act;[Regulation 3 Subregulation (1) amended by No. 18 of 1999, s. 48, Applied:14 May 1999] non-contributory scheme means the scheme established under Part 5 ;[Regulation 3 Subregulation (1) amended by No. 18 of 1999, s. 48, Applied:14 May 1999] notional contributions surcharge amount means an amount calculated by the Board under regulation 88A ;[Regulation 3 Subregulation (1) amended by No. 18 of 1999, s. 48, Applied:14 May 1999] notional surchargeable contributions factor means a factor applying to a contributor or eligible employee as determined under regulation 15(9) ;[Regulation 3 Subregulation (1) amended by S.R. 1995, No. 104, Applied:11 Oct 1995] parental leave means any period not exceeding 12 months on any one occasion of maternity leave, paternity leave or adoption leave;[Regulation 3 Subregulation (1) amended by No. 18 of 1999, s. 48, Applied:14 May 1999] pay day means (a) in the case of an allocated pension, a day on which a fortnightly, monthly, quarterly or annual instalment of allocated pension is payable under regulation 65 ; or(b) in the case of any other pension, a day on which a fortnightly instalment of pension is payable under regulation 83 ;[Regulation 3 Subregulation (1) amended by No. 18 of 1999, s. 48, Applied:14 May 1999] pensioner means a person who is receiving a pension under these regulations that is not an allocated pension;permanent employee means a person aged 15 years or over who is employed in a permanent capacity in an Agency and includes an employee who is (a) [Regulation 3 Subregulation (1) amended by S.R. 1994, No. 178, Applied:01 Jul 1994] appointed to a position in the State Service under section 36 or 38(1)(b) of the State Service Act; or(b) employed in a permanent capacity by the Hydro-Electric Commission; or(c) employed in a permanent capacity as a police officer; or(d) employed in a permanent capacity by, or on behalf of, a public hospital authority; or(e) [Regulation 3 Subregulation (1) amended by S.R. 1994, No. 178, Applied:01 Jul 1994] employed as a student nurse or a trainee under section 38 of the State Service Act; or(f) employed in a permanent capacity otherwise than as provided in paragraphs (a) to (d) inclusive, and who, immediately before 1 July 1994 was contributing to the Fund; or(g) an officer the term of whose appointment is fixed by law; or(h) appointed under Part V of the State Service Act and who elects, under section 29(12) of that Act, to continue to be an employee for the purposes of these regulations; or(i) a person employed in a permanent capacity who, under any Act, is taken to be an employee within the meaning of, or for the purposes of, these regulations; or(j) [Regulation 3 Subregulation (1) amended by S.R. 1994, No. 178, Applied:01 Jul 1994] [Regulation 3 Subregulation (1) amended by S.R. 1996, No. 168, Applied:04 Dec 1996] an employee, or one of a class of employees, of an Agency determined by the Minister, on the recommendation of the Board, to be employed in a permanent capacity for the purposes of these regulations but does not include (k) a person to whom regulation 4 relates; or(l) a permanent part-time employee who before 1 July 1994 was not a contributor to the Fund; or(m) a married female employee who has been continuously employed since 1 July 1982 and who is not contributing to the Fund; or(n) a person (i) whose employment is of a casual or temporary full-time nature; or(ii) who is a temporary part-time employee; or(iii) who is employed as an agent or who is remunerated by fees, allowances or commission only; or(iv) whose appointment is honorary; or(v) who is contributing to a public sector superannuation fund otherwise than under these regulations; or(vi) [Regulation 3 Subregulation (1) amended by S.R. 1994, No. 178, Applied:01 Jul 1994] who is employed under a contract which is not a prescribed contract of employment; or(vii) [Regulation 3 Subregulation (1) amended by No. 18 of 1999, s. 48, Applied:14 May 1999] who is employed on a contract under section 38(1)(a) of the State Service Act; or(o) [Regulation 3 Subregulation (1) amended by S.R. 1994, No. 178, Applied:01 Jul 1994] [Regulation 3 Subregulation (1) amended by No. 18 of 1999, Sched. 4, Applied:14 May 1999] a person who is employed in a permanent capacity by a prescribed authority who under regulation 23A is not eligible to become a contributor;personal representative, in relation to a deceased employee, an employee or a former employee, means the spouse of the employee or such other person that the Board, having regard to all the circumstances, may determine;police officer means a police officer within the meaning of the Police Regulation Act 1898 and includes the Commissioner of Police, the Deputy Commissioner of Police, an Assistant Commissioner of Police and a cadet appointed under section 28A of that Act;[Regulation 3 Subregulation (1) amended by No. 79 of 1997, Sched. 4, Applied:15 Jan 1998] [Regulation 3 Subregulation (1) amended by No. 18 of 1999, Sched. 4, Applied:14 May 1999] prescribed arrangement means an enactment, arrangement or agreement under which services currently provided by an Agency or part of an Agency are transferred as a result of to another person, organisation or prescribed authority if the enactment, arrangement or agreement is declared to be a prescribed arrangement under subregulation (1A) ;(a) a change to its constitution; or(b) a sale or any other arrangement which may result in any change to the terms of employment of all or some of its employees [Regulation 3 Subregulation (1) amended by No. 18 of 1999, s. 48, Applied:14 May 1999] prescribed authority means an authority, State-owned company, Agency or part of an Agency to which these regulations apply under subregulation (5) ;prescribed contract of employment means a contract in writing under which a person is employed in an Agency, for a period that is, or for periods that together are, not less than 3 years, whether the periods are specified in, or determined by reference to, the contract;[Regulation 3 Subregulation (1) amended by No. 18 of 1999, s. 48, Applied:14 May 1999] preservation age means the age of 55 years or, where the law of the Commonwealth relating to superannuation provides for another age as the preservation age, that other age;provident fund means so much of the Fund as represents the total of the amounts which in accordance with these regulations stand to the credit of the contributors' accounts of provident fund contributors;provident fund contributor means a police officer who was a member of the fund established under the Police Regulation Act 1898 and who immediately before 1 July 1994 was a contributor to the Fund under section 61BA of the repealed Act and has not elected to contribute to the Fund under the Retirement Benefits (Transitional) Regulations 1994 ;public sector superannuation scheme means a scheme for the payment of superannuation, retirement or death benefits that is established (a) by or under an Act; or(b) by a public authority, statutory body, body corporate or other body constituted by or under an Act;quarter means a period of 3 months commencing on 1 July, 1 October, 1 January and 1 April in any year;[Regulation 3 Subregulation (1) amended by No. 18 of 1999, s. 48, Applied:14 May 1999] regulated superannuation fund has the same meaning as in the Superannuation Industry (Supervision) Act 1993 of the Commonwealth, as amended;repealed Act means the Retirement Benefits Act 1982 as amended by the Retirement Benefits Act 1993 ;responsible officer, in relation to an Agency, means [Regulation 3 Subregulation (1) amended by S.R. 1994, No. 178, Applied:01 Jul 1994](a) the person employed in that Agency to whom is assigned the duty of conducting the business of the Agency relating to the Fund; or(b) where that duty is not assigned, the Head of Agency or person in charge of the Agency;[Regulation 3 Subregulation (1) amended by S.R. 1994, No. 178, Applied:01 Jul 1994] salary includes wages, allowances and discretionary benefits paid or payable to a person as an employee and (a) [Regulation 3 Subregulation (1) amended by S.R. 1995, No. 35, Applied:28 Jun 1995] any amount paid by an Agency to a complying superannuation fund on behalf of an employee who has the option of receiving the amount as salary or in another form of benefit; and(b) any amount paid for, or value assessed of non-salary benefits received by, an employee who has the option of receiving the amount as salary or in another form of benefit but does not include (c) any bonus or payment for special circumstances of an occasional nature; or(d) any payment in respect of travelling or other work related expenses; or(e) [Regulation 3 Subregulation (1) amended by S.R. 1995, No. 104, Applied:11 Oct 1995] [Regulation 3 Subregulation (1) amended by No. 18 of 1999, s. 48, Applied:14 May 1999] any payment in respect of accrued recreation leave or long service leave taken as a lump sum payment on the termination of employment; or(f) [Regulation 3 Subregulation (1) amended by S.R. 1995, No. 104, Applied:11 Oct 1995] any wages, allowances or discretionary benefits in respect of which contributions have not been paid by a person while an employee;service in relation to a contributor means a period or periods of any of the following kinds:(a) a period in respect of which a contributor made contributions to the Fund under Part 4 ;(b) any period recognized as service under regulation 24 , 25 or 48 ;[Regulation 3 Subregulation (1) amended by No. 18 of 1999, s. 48, Applied:14 May 1999] spouse contributions has the same meaning as in the Income Tax Assessment Act 1936 of the Commonwealth, as amended;State authority means a body or authority, whether incorporated or not, which is established or constituted by or under an Act or under the Royal Prerogative, where the body or authority or its governing authority wholly or partly comprises a person or persons appointed by the Governor, a Minister or another State authority but does not include a Government department;[Regulation 3 Subregulation (1) amended by No. 18 of 1999, s. 48, Applied:14 May 1999] State-owned company means a company incorporated under the Corporations Law which is controlled by the Crown, a Government Business Enterprise or statutory authority or another company which is so controlled;[Regulation 3 Subregulation (1) amended by No. 18 of 1999, s. 48, Applied:14 May 1999] State Service Act means the Tasmanian State Service Act 1984 ;[Regulation 3 Subregulation (1) amended by No. 18 of 1999, s. 48, Applied:14 May 1999] subfund means a part of the Fund that is maintained by the Board as a subfund under regulation 13A ;[Regulation 3 Subregulation (1) amended by No. 18 of 1999, s. 48, Applied:14 May 1999] surcharge liability means liability for a tax or interest under the law of the Commonwealth arising from an entitlement to a benefit under these regulations;[Regulation 3 Subregulation (1) amended by No. 18 of 1999, s. 48, Applied:14 May 1999] surchargeable contributions debt account means an account established under regulation 88G ;[Regulation 3 Subregulation (1) amended by No. 18 of 1999, s. 48, Applied:14 May 1999] Taxation Commissioner means the person who is holding office as, or acting in the office of, the Commissioner of Taxation under the Income Tax Assessment Act 1936 of the Commonwealth, as amended;[Regulation 3 Subregulation (1) amended by No. 18 of 1999, s. 48, Applied:14 May 1999] vested benefits means the aggregate of the amounts standing to the credit of the accounts established under these regulations for a contributor or eligible employee;[Regulation 3 Subregulation (1) amended by No. 18 of 1999, s. 48, Applied:14 May 1999] voluntary contributions means the voluntary contributions paid or payable under these regulations by an eligible employee or a contributor or the spouse of an eligible employee or contributor;[Regulation 3 Subregulation (1) amended by No. 18 of 1999, s. 48, Applied:14 May 1999] widow of a deceased man includes a woman who, at the time of his death although not legally married to him at that time;(a) was living with him; and(b) was generally recognised as his de facto wife [Regulation 3 Subregulation (1) amended by No. 18 of 1999, s. 48, Applied:14 May 1999] widower of a deceased woman includes a man who, at the time of her death [Regulation 3 Subregulation (1) amended by S.R. 1996, No. 168, Applied:04 Dec 1996] [Regulation 3 Subregulation (1) amended by No. 79 of 1997, Sched. 4, Applied:15 Jan 1998]although not legally married to her at that time.(a) was living with her; and(b) was generally recognised as her de facto husband (1A) [Regulation 3 Subregulation (1A) inserted by No. 79 of 1997, Sched. 4, Applied:15 Jan 1998] The Minister may, by notice published in the Gazette, declare that an enactment, arrangement or agreement is to be a prescribed arrangement for the purposes of these regulations.(2) For the purposes of the definition of "salary" in subregulation (1) , contributions made by an Agency to a regulated superannuation fund on behalf of an employee employed under contract are taken to be included in the employee's salary.(3) For the purposes of the definition of "service" in subregulation (1) , if a person, having been absent from duty while in receipt of an invalidity pension or an interim invalidity pension under these regulations, is reappointed to an office or position in the service of an Agency, the period during which he or she was so absent is taken to comprise part of his or her service.(4) A reference in these regulations to a period expressed in years includes, where appropriate, a reference to a period expressed in years together with a fraction of a year, that is expressed in days.(5) [Regulation 3 Subregulation (5) inserted by No. 18 of 1999, s. 48, Applied:14 May 1999] The Minister may, by notice published in the Gazette, declare that these regulations apply to (a) a joint authority under section 38 of the Local Government Act 1993 or any other specified authority; and(b) a State-owned company; and(c) a specified Agency or part of an Agency which maintains its own superannuation provisions for all or any of its employees; and(d) the employees or former employees of any such authority, company, Agency or part of an Agency or a class of such employees or such former employees.(6) [Regulation 3 Subregulation (6) inserted by No. 18 of 1999, s. 48, Applied:14 May 1999] For the purposes of the definition of "State-owned company" in subregulation (1) , the provisions of the Corporations Law relating to control are taken to apply as if the Crown, Government Business Enterprise or statutory authority, as the case may be, were a corporation under that Law.
3A. Application of regulations
[Regulation 3A Inserted by No. 91 of 1999, s. 84, Applied:15 Dec 1999](1) These regulations apply to (a) a person who after 1 July 1999 is first appointed as Governor; and(b) a person who after 1 July 1999 is elected as a member of Parliament and to whom neither the Parliamentary Superannuation Act 1973 nor the Parliamentary Retiring Benefits Act 1985 applies; and(c) a person who after 1 July 1999 is appointed as a judge or the Master of the Supreme Court; and(d) a person who after 1 July 1999 is appointed as the Solicitor-General or the Director of Public Prosecutions; and(e) persons employed by the State or State authorities; and(f) in certain cases, the spouses and beneficiaries of any person referred to in paragraph (a) , (b) , (c) , (d) or (e) .(2) Nothing in subregulation (1) limits the effect of any Act which confers a right on any person to make contributions, or to transfer a lump sum benefit, to an investment account or an allocated pension account.
4. Non-application of regulations
[Regulation 4 Amended by S.R. 1994, No. 178, Applied:01 Jul 1994] [Regulation 4 Amended by S.R. 1995, No. 104, Applied:11 Oct 1995] [Regulation 4 Amended by S.R. 1994, No. 178, Applied:01 Jul 1994] [Regulation 4 Amended by S.R. 1995, No. 35, Applied:28 Jun 1995] [Regulation 4 Amended by S.R. 1994, No. 178, Applied:01 Jul 1994] [Regulation 4 Amended by No. 79 of 1997, Sched. 4, Applied:15 Jan 1998] [Regulation 4 Substituted by No. 18 of 1999, s. 49, Applied:14 May 1999](1) These regulations do not apply to (a) [Regulation 4 Subregulation (1) amended by No. 91 of 1999, s. 85, Applied:15 Dec 1999] . . . . . . . .(b) a person who is employed as an agent only; or(c) a person whose appointment is honorary; or(d) a person in respect of whom an Agency has certified (i) that alternative arrangements have been made for that employee by the Agency; and(ii) that those arrangements satisfy the requirements of the Superannuation Guarantee (Administration) Act 1992 of the Commonwealth; or(da) a person employed in an Agency as at 1 July 1994 for whom alternative superannuation arrangements have been made by that Agency in substitution for membership of the contributory scheme established under Part 4 which, in the opinion of the Board, satisfy the requirements of the Superannuation Guarantee (Administration) Act 1992 of the Commonwealth; or(e) an overseas employee who, under the laws of a place outside the Commonwealth, is required to make prescribed social security contributions in respect of his or her employment or his or her holding of an office or position by virtue of which he or she is or, but for this regulation would be, an employee within the meaning of these regulations; or(f) [Regulation 4 Subregulation (1) amended by No. 91 of 1999, s. 85, Applied:15 Dec 1999] . . . . . . . .(g) an employee who is or becomes a member of, or a contributor to, a superannuation scheme other than under these regulations for persons (i) appointed or employed under section 4A of the Botanical Gardens Act 1950 ; or(ii) appointed or employed under section 11 of the Racing Act 1983 ; or(iii) employed in the Tasmanian Museum and Art Gallery; or(iv) appointed or employed under section 14 of the Ambulance Service Act 1982 ; or(v) employed in the Tasmanian Dairy Industry Authority; or(vi) appointed or employed under section 35(2) of the Fisheries Act 1959 ; or(vii) employed in the State Fire Commission; or(viii) appointed or employed under section 21A of the Marketing of Primary Products Act 1945 for the purposes of the Egg Marketing Act 1957 ; or(ix) employed by the Totalizator Agency Board; or(x) employed by the company referred to in section 4 of the Metro Tasmania Act 1997 who are members of a scheme established or maintained by that company; or(h) a person engaged in an Agency who is not an employee within the meaning of the Superannuation Guarantee (Administration) Act 1992 of the Commonwealth.(2) Where a person who is a contributor is excluded from the application of these regulations under subregulation (1) , he or she is entitled to an amount equal to a lump sum benefit calculated under regulation 41 which amount is to be preserved in accordance with regulation 43(6) or (7) .(3) Where a person who is an eligible employee is excluded from the application of these regulations under subregulation (1) , he or she is entitled to an amount equal to the lump sum benefit as provided by regulation 55 , which amount is to be transferred to his or her compulsory preservation account.
5. Application of Commonwealth law
Requirements of the standards prescribed for the purposes of the Occupational Superannuation Standards Act 1987 or the Superannuation Industry (Supervision) Act 1993 of the Commonwealth or any other law of the Commonwealth relating to regulated superannuation schemes in force from time to time applicable to matters arising under these regulations have effect in relation to those matters as if they were included in these regulations.
[Regulation 6 Amended by S.R. 1996, No. 168, Applied:04 Dec 1996] Before submitting to the Minister any regulations to be approved by the Governor, the Board, if it is appropriate to do so, is to provide the Minister with a statement as to the likely cost to the State of the proposed regulations.
PART 2 - Administration
7. Provisions relating to constitution, membership and meetings of Board
(1) The Board consists of 6 members appointed by the Governor, of whom (a) [Regulation 7 Subregulation (1) amended by S.R. 1996, No. 168, Applied:04 Dec 1996] 3 are persons nominated by the Minister; and(b) 3 are persons of whom (i) one is a person elected by contributors; and(ii) one is a person elected by eligible employees; and(iii) [Regulation 7 Subregulation (1) amended by S.R. 1994, No. 178, Applied:01 Jul 1994] one is a person nominated by the Tasmanian Trades and Labor Council.(2) The first election of members of the Board for the purposes of subregulation (1)(b) is to be held as soon as practicable after 1 July 1994 and not later than 30 June 1995.(3) [Regulation 7 Subregulation (3) amended by S.R. 1995, No. 50, Applied:01 Jul 1995] A person holding a position or an office under the State Service Act, other than an officer of the Board, is eligible for appointment as a member of the Board, and may hold office as such a member in conjunction with a position or an office under the State Service Act.(4) Schedule 1 has effect with respect to the election of members of the Board.
8. Functions and powers of Board
(1) The functions of the Board are to (a) manage the Fund so as to maximize the return earned on the Fund, having regard to the need to (i) provide for payments out of the Fund; and(ii) exercise reasonable care and prudence so as to maintain the integrity of the Fund; and(b) administer the receipt of contributions and voluntary contributions and the payment of benefits having due regard to the need for equity among employees and beneficiaries; and(c) collect contributions and voluntary contributions and to pay benefits; and(d) establish policies in respect of the administration of these regulations and the investment of money standing to the credit of the Fund and to adopt strategies designed to achieve those policies; and(e) determine, authorize and approve programmes for the administration of these regulations and the investment of money standing to the credit of the Fund; and(f) conduct its operations in an efficient, effective and economic manner; and(g) take, purchase, lease, hold, sell, exchange and dispose of real and personal property for the purposes of these regulations; and(h) [Regulation 8 Subregulation (1) amended by No. 18 of 1999, s. 50, Applied:14 May 1999] inform contributors about the management of the Fund including making available to contributors, at least once a year, a summary of information relating to their entitlements; and(i) [Regulation 8 Subregulation (1) amended by No. 18 of 1999, s. 50, Applied:14 May 1999] provide for the payment of any taxation or surcharge liability imposed under the law of the Commonwealth on the Fund or in respect of any benefits payable by the Board.(2) [Regulation 8 Subregulation (2) amended by S.R. 1995, No. 50, Applied:01 Jul 1995] In performing its functions, the Board must have regard to the need to protect information the disclosure of which could adversely affect the financial position or the commercial or other operations of the Board.(3) In performing their functions, the members of the Board must (a) act honestly in all matters concerning the Fund; and(b) exercise, in relation to all matters affecting the Fund, the same degree of care, skill and diligence as an ordinary prudent person would exercise in dealing with property of another person for whom that person felt morally bound to provide; and(c) ensure that the Board's functions and powers are performed and exercised in the best interests of the beneficiaries; and(d) keep the money and other assets of the entity separate from any money and assets (i) that are held by the member personally; or(ii) that are money or assets of the State or an Agency; and(e) subject to these regulations, not enter into any contract, or do anything else, that would prevent the Board from, or hinder the Board in, properly performing or exercising its functions and powers; and(f) formulate and give effect to an investment strategy that has regard to the whole of the circumstances of the Fund including (i) the risk involved in making, holding and realizing, and the likely return from, the Fund's investments having regard to its objectives and its expected cash flow requirements; and(ii) the composition of the Fund's investments as a whole, including the extent to which the investments are diverse or involve the Fund in being exposed to risks from inadequate diversification; and(iii) the liquidity of the Fund's investments, having regard to its expected cash flow requirements; and(iv) the ability of the Fund to discharge its existing and prospective liabilities; and(g) if there are any reserves of the Fund, formulate and give effect to a strategy for the prudent management of those reserves; and(h) allow a beneficiary access to any information or any documents prescribed under an Act of the Commonwealth or of this State.(4) The Board may do anything necessary or convenient to perform its functions.(5) [Regulation 8 Subregulation (5) inserted by No. 18 of 1999, s. 50, Applied:14 May 1999] In performing its functions, the Board must have regard to any directions given under regulation 60AB .
9. Power of Board to engage persons and officers
(1) The Board may (a) appoint agents and attorneys; and(b) act as an agent for other persons; and(c) engage consultants; and(d) appoint investment managers and custodians.(2) The Board may appoint as officers of the Board any persons it considers necessary for the purpose of enabling it to properly carry out its functions.(3) The Board must appoint a person as Secretary to the Board.(4) Until the Board appoints a person under subregulation (3) , the person holding office of General Manager of the State Superannuation Office is the Secretary to the Board.(5) The Secretary may exercise and is to perform such powers, authorities, duties and functions as are prescribed or as the Board may authorize or direct.(6) A person who is a member of a House of Parliament of the Commonwealth, or of a State or Territory of the Commonwealth, or a candidate for election as a member of any such House of Parliament, is disqualified from appointment as an officer of the Board and a person holding office as such an officer ceases to hold that office on becoming a candidate for such an election.(7) Schedule 2 has effect with respect to (a) the appointment and terms and conditions of employment of persons appointed under subregulations (2) and (3) ; and(b) any officer who is a candidate for election as mentioned in subregulation (6) .(8) All costs incurred by the Board under this regulation are a charge against the Fund.
10. Protection for members and officers of Board
(1) Any member or officer of the Board is not personally liable for an honest act or omission done or made in the exercise or purported exercise of a power or the performance or purported performance of a function under these regulations.(2) A liability that would, but for subregulation (1) , be against any member or officer of the Board, lies against the Board.(3) [Regulation 10 Subregulation (3) inserted by No. 18 of 1999, s. 51, Applied:14 May 1999] Neither the Board or any member or officer of the Board is liable for any loss suffered by a person by reason of an investment choice exercised under regulation 60AB .
[Regulation 11 Subregulation (1) amended by S.R. 1996, No. 168, Applied:04 Dec 1996] [Regulation 11 Substituted by No. 18 of 1999, s. 52, Applied:14 May 1999](1) The Board must, in respect of each financial year, prepare an annual report containing (a) a report of its operations during the financial year; and(b) an audited statement of the financial position of the Fund; and(c) a summary of the most recent report prepared by the Actuary showing the superannuation liabilities of the State and each prescribed authority.(2) The Board is to submit the annual report to the Minister to enable the Minister, on or before 30 November in each year, to cause copies of the report to be laid before each House of Parliament.(3) If the Minister is unable to comply with subregulation (2) because either House of Parliament is not sitting, the Minister must (a) on 30 November following the end of the financial year (i) forward copies of the annual report to the Clerk of that House; and(ii) make the annual report available to the public; and(b) within the next 7 sitting days of that House, cause copies of the annual report to be laid before that House.(4) If 30 November in any year is a Sunday or a day that is a bank holiday or a public holiday throughout Tasmania, it is sufficient compliance with this regulation if, on the next day that is not a bank holiday or a public holiday throughout Tasmania, copies of the annual report (a) are forwarded to the Clerk of the Legislative Council and the Clerk of the House of Assembly; and(b) are made available to the public.(5) The Board must, each year, distribute to each person entitled to a benefit under this Act (a) a summary of its annual report; and(b) a statement of any money or benefit entitlement held by the Board in respect of that person; and(c) a statement of the estimated surcharge liability payable under Part 7A in respect of that person.
The Governor may appoint a person or organization as the Actuary for the purposes of these regulations for any period, and on any terms and conditions, specified in the instrument of appointment.
PART 3 - Retirement Benefits Fund
(1) There is to be paid into the Fund all (a) [Regulation 13 Subregulation (1) amended by No. 18 of 1999, s. 53, Applied:14 May 1999] contributions, voluntary contributions, spouse contributions, additional employer contributions, eligible termination payments or other money authorised to be paid into the Fund by persons entitled to benefits under these regulations; and(b) [Regulation 13 Subregulation (1) amended by S.R. 1996, No. 168, Applied:04 Dec 1996] [Regulation 13 Subregulation (1) amended by No. 18 of 1999, Sched. 4, Applied:14 May 1999] payments required by or under these regulations to be made to the Fund by the Minister or a prescribed authority; and(c) income derived from the investments made under regulation 14 but without taking into account unrealized capital gains or losses; and(d) money required or authorized by these regulations or the Retirement Benefits (Transitional) Regulations 1994 to be paid by any person to the Board; and(e) money, investments and assets that, on or after 1 July 1994, are transferred to, and vested in, the Board by the Act.(2) The management and control of the Fund are vested in the Board.(3) Money that is payable into the Fund is to be paid to the Board.(4) The Board must pay out of the Fund (a) [Regulation 13 Subregulation (4) amended by No. 18 of 1999, Applied:14 May 1999] all pensions, allocated pensions and lump sum benefits and all refunds of contributions or other sums payable under these regulations and the Retirement Benefits (Transitional) Regulations 1994 ; and(b) the expenses and remuneration incurred for services that are authorized and carried out for the purposes of administration of these regulations and the Retirement Benefits (Transitional) Regulations 1994 ; and(c) [Regulation 13 Subregulation (4) amended by No. 18 of 1999, Applied:14 May 1999] any taxation, surcharge or other liability, duty or fee imposed on the Fund under a law of the Commonwealth or this State.
[Regulation 13A Inserted by No. 18 of 1999, s. 54, Applied:14 May 1999](1) The Board may establish and maintain within the Fund such subfunds as, in the opinion of the Board, are necessary or convenient for the administration of the Act but must ensure that, in respect of each subfund (a) there are separately identifiable assets and beneficiaries; and(b) each beneficiary of that subfund has an interest only in the assets of that subfund and not in the other assets of the Fund; and(c) there is no transfer of assets, benefits or money between that subfund and another subfund unless there is a transfer of a corresponding beneficial interest; and(d) the insurance and administration costs levied on that subfund are attributable only to that subfund.(2) Without limiting subregulation (1) , the Board may establish separate asset portfolios, comprising assets of the Fund allocated by the Board, for the purposes of investment of the Fund.(3) For the purpose of investment and allocating the investment earnings of the Fund or for related purposes, the Board (a) may treat 2 or more subfunds as one subfund; and(b) may treat one or more subfunds as being invested as part of one or more asset portfolios; and(c) must, if so required, determine the parts of each subfund which are to be treated as being invested in one or more asset portfolios.
(1) [Regulation 14 Subregulation (1) amended by S.R. 1995, No. 50, Applied:01 Jul 1995] Subject to this regulation, money standing to the credit of the Fund may be invested by the Board with any investment manager in any manner in which the Board thinks fit.(2) The Board may authorize an investment manager to perform the powers and duties of the Board with respect to all or part of the money of the Fund available for investment.(3) Whether or not the Board appoints an investment manager, it must conduct a review at least every 12 months of its investment policy and the management and performance of its investments.(4) Without limiting the generality of subregulation (1) , money standing to the credit of the Fund may be invested on first mortgage of real property in the State, including a completed flat that is held in fee simple to which a stratum plan registered under Part XIA of the Conveyancing and Law of Property Act 1884 relates.(5) [Regulation 14 Subregulation (5) amended by S.R. 1995, No. 50, Applied:01 Jul 1995] Subregulation (4) applies to a mortgage or further charge under or in respect of which the investment manager has priority over all other persons.(6) The Board must ensure that the assets of the Fund are invested in a manner that is consistent with the standards prescribed for the purposes of the Superannuation Industry (Supervision) Act 1993 of the Commonwealth and in force from time to time.(7) [Regulation 14 Subregulation (7) omitted by S.R. 1995, No. 50, Applied:01 Jul 1995] . . . . . . . .
15. Actuarial investigations of Fund
[Regulation 15 Subregulation (2) amended by S.R. 1996, No. 168, Applied:04 Dec 1996] [Regulation 15 Substituted by No. 18 of 1999, s. 55, Applied:14 May 1999](1) An investigation as to the state and sufficiency of the Fund is to be made at the expiration of each period of 3 years commencing on 30 June 1998.(2) An investigation for the purposes of subregulation (1) is to be made by the Actuary who, not later than 12 months after the date on which the investigation is to be made, must prepare a report giving full particulars of the investigation and give a copy of the report to the Minister and the Board.(3) The Actuary must include in the report (a) a statement as to whether any change should be made in (i) the basis on which, or the extent to which, lump sum entitlements may be converted into pension payments under Part 7 ; and(ii) the proportion in which the contributions required to be paid to the Fund under regulations 90 and 90A by the Minister and by a prescribed authority are to be paid; and(b) a statement of the financial position with respect to the current and future liabilities for pension and lump sum benefit entitlements, including any liabilities payable by the Fund under the law of the Commonwealth; and(c) a statement as to any liability for benefit payments not expected to be paid out of the assets of the Fund or any future contributions; and(d) any other matters which the Actuary may consider appropriate.(4) In carrying out an investigation under subregulation (1) , the Actuary must prepare a report in respect of each prescribed authority and must give a copy of the report to within 12 months after the date on which the investigation is to be made.(a) the Board; and(b) the prescribed authority; and(c) the Minister (5) The cost of an investigation under subregulation (4) into each prescribed authority is to be met by the prescribed authority.(6) The Board must provide a copy or extract of the Actuary's report to an eligible employee or contributor on written request.(7) The Actuary, when requested by the Board or as required under the law of the Commonwealth, must provide the Board with such actuarial information as is necessary for the Board to satisfy its obligations under the law of the Commonwealth.(8) The Actuary may, from time to time, make comments and provide advice to the Minister or the Board on any matter or thing relating to, or arising out of, these regulations.(9) The Actuary, when requested by the Board to do so, must (a) determine a notional surchargeable contributions factor for each contributor or eligible employee or class of contributor or eligible employee; and(b) advise the Board of that factor so as to enable the Board to satisfy its obligations under a Commonwealth surcharge Act.
(1) [Regulation 16 Subregulation (1) amended by S.R. 1996, No. 168, Applied:04 Dec 1996] The Board may request the Minister for money to make any payment that it is required to make under these regulations and the Minister may, out of money available to him or her, temporarily lend to the Board the money so requested or any part of that money the Minister determines.(2) [Regulation 16 Subregulation (2) amended by S.R. 1996, No. 168, Applied:04 Dec 1996] The Minister must not lend money to the Board for a period exceeding one month.(3) [Regulation 16 Subregulation (3) amended by S.R. 1996, No. 168, Applied:04 Dec 1996] The Board must pay to the Minister interest on any money lent to it under this regulation at any rate the Minister determines.
(1) [Regulation 17 Subregulation (1) amended by No. 18 of 1999, Sched. 4, Applied:14 May 1999] [Regulation 17 Subregulation (1) amended by S.R. 1996, No. 168, Applied:04 Dec 1996] The Minister on behalf of the State must guarantee the payment of contributions required to be made to the Fund by an Agency or a prescribed authority if that Agency or Authority fails to make the contributions required under these regulations within 28 days after a claim is made by the Board.(2) [Regulation 17 Subregulation (2) amended by S.R. 1996, No. 168, Applied:04 Dec 1996] Any payment guaranteed by the Minister is to be paid to the credit of the Fund within 7 days after a demand for it is made by the Board.(3) [Regulation 17 Subregulation (3) amended by S.R. 1996, No. 168, Applied:04 Dec 1996] Investments made by the Board in respect of voluntary contributions or benefits transferred to the Fund under regulation 62 are not guaranteed by the Minister.
(1) The Board must ensure that there are proper accounts and records kept of the transactions and affairs of the Board and any other records as will sufficiently explain the financial operations and position of the Board.(2) The Board is to do all things necessary to (a) ensure that all money payable to the Board is properly collected; and(b) ensure that all money expended by the Board is properly authorized; and(c) ensure that adequate control is maintained over assets owned by or in the custody of the Board; and(d) ensure that all liabilities incurred by the Board are properly authorized; and(e) develop and maintain an adequate budgeting and accounting system; and(f) develop and maintain an adequate internal audit system.(3) As soon as practicable after 30 June in each year, the Board must prepare a statement of accounts, in a form approved by the Auditor-General, having regard to subregulation (4) , showing a true and correct view of the financial position of the Fund as at that date and the transactions of the Fund with respect to the period of 12 months ending on that date.(4) For the purposes of subregulation (3) , the investments of the Fund are to be shown at market value as at 30 June in each year, with unrealized capital gains and losses being brought to account.
[Regulation 19 Amended by S.R. 1996, No. 168, Applied:04 Dec 1996] The Board must pay to the Public Account an amount to be determined by the Minister to defray the costs and expenses of any audit by the Auditor-General.
PART 4 - Membership, contributions and benefits of contributory scheme
Division 1 - Membership
20. Persons required to join scheme
(1) Except as provided in subregulation (2) , a person who is to contribute until reaching the age for retirement as provided in regulations 23 and 27 .(a) is an existing contributor under the age for retirement; or(b) becomes a permanent employee on or after 1 July 1994 and is under the age for retirement (2) If a contributor who is employed on a full-time basis and who is on leave without pay from an Agency again becomes a permanent employee by virtue of an appointment to another position, that contributor is, on and from the date of that appointment, to be taken as a contributor only in respect of that position.
21. Persons who may elect to join scheme
(1) Subject to this regulation, a person who is not a permanent employee but who is may elect within 12 months of becoming eligible to contribute, or any extended time the Board may allow, to become a contributor on and from the date of the election or, in the case of a temporary full-time employee to whom paragraph (a) refers, on and from a date 6 months before the receipt of the election.(a) a person who has been employed continuously in a temporary full or part-time capacity (whether before or after 1 July 1994) during the 2 years immediately preceding the date on which he or she so elects; or(b) [Regulation 21 Subregulation (1) amended by S.R. 1994, No. 178, Applied:01 Jul 1994] a person employed under a prescribed contract of employment which does not make provision for alternative superannuation arrangements; or(c) [Regulation 21 Subregulation (1) amended by S.R. 1994, No. 178, Applied:01 Jul 1994] [Regulation 21 Subregulation (1) amended by S.R. 1995, No. 104, Applied:11 Oct 1995] a person who has been employed continuously in a full or part-time capacity under section 9 of the Governor Of Tasmania Act 1982 during the 2 years immediately preceding the date on which he or she so elects; or(d) [Regulation 21 Subregulation (1) amended by S.R. 1994, No. 178, Applied:01 Jul 1994] [Regulation 21 Subregulation (1) amended by S.R. 1995, No. 104, Applied:11 Oct 1995] a person who has been employed continuously in a full or part-time capacity under section 4 of the Parliamentary Privilege Act 1898 during the 2 years immediately preceding the date on which he or she so elects (2) If a person makes an election under subregulation (1) , he or she ceases to be an eligible employee on the date he or she becomes a contributor and is entitled to have transferred to an account established under regulation 63 an amount equal to the lump sum benefit as provided in regulation 54 or 55 .(3) This regulation does not apply to a person who, under regulation 23 , has elected not to contribute to the Fund.(4) For the purposes of subregulation (1)(a) , a person is taken to be employed continuously in a temporary full-time or part-time capacity if he or she is employed in such circumstances that, had he or she been so employed in a permanent capacity, he or she would have been a contributor within the meaning of these regulations.(5) [Regulation 21 Subregulation (5) amended by S.R. 1995, No. 104, Applied:11 Oct 1995] On the making of an election under this regulation by an employee to whom subregulation (1)(a) , (b) , (c) or (d) relates, he or she is taken to become a permanent employee within the meaning of this Part and remain such an employee so long as he or she is employed as provided in subregulation (1)(a) , (b) , (c) or (d) or is employed as a permanent employee.(6) [Regulation 21 Subregulation (6) amended by No. 18 of 1999, Sched. 4, Applied:14 May 1999] [Regulation 21 Subregulation (6) amended by S.R. 1996, No. 168, Applied:04 Dec 1996] [Regulation 21 Subregulation (6) inserted by S.R. 1994, No. 178, Applied:01 Jul 1994] An eligible employee who is employed in a prescribed authority which, with the approval of the Minister, has elected to participate only in the non-contributory scheme established under Part 5 is not entitled to join the contributory scheme established under Part 4 .(7) [Regulation 21 Subregulation (7) inserted by S.R. 1995, No. 104, Applied:11 Oct 1995] A person who was a permanent part-time employee before 1 July 1994 and who has not previously elected to contribute may elect to become a contributor on and from the date of the election.
22. Contributors for full benefits or limited benefits
(1) An employee who becomes a contributor is not eligible to become a contributor for full benefits except as provided by regulation 100 .(2) An employee who becomes a contributor and is not eligible, under regulation 100 , to become a contributor for full benefits is taken to be a contributor for limited benefits.(3) If at any time after a person becomes a contributor for limited benefits he or she satisfies the Board, under regulation 100 , that his or her health and physical condition are such as to justify him or her being accepted as a contributor for full benefits, he or she is entitled to become a contributor.
23. Exemption from contributing
(1) A permanent employee who is a contributor or who is required to become a contributor may be exempted from contributing as provided in this regulation.(2) Where a permanent employee satisfies the Board that he or she has made adequate provision for superannuation otherwise than under these regulations, the Board may exempt him or her from contributing.(3) Where a married female permanent employee the employee may, by notice in writing to the Board, elect not to continue to contribute to the Fund.(a) commenced continuous employment in an Agency before 1 July 1982; and(b) is a contributor to the Fund (4) [Regulation 23 Subregulation (4) substituted by S.R. 1994, No. 178, Applied:01 Jul 1994] A contributor who ceases to be a permanent employee but remains employed in a temporary capacity, by notice in writing to the Board, may elect to exempt himself or herself from contributing to the Fund.(4A) [Regulation 23 Subregulation (4A) amended by No. 18 of 1999, Sched. 4, Applied:14 May 1999] [Regulation 23 Subregulation (4A) amended by S.R. 1996, No. 168, Applied:04 Dec 1996] [Regulation 23 Subregulation (4A) inserted by S.R. 1994, No. 178, Applied:01 Jul 1994] [Regulation 23 Subregulation (4A) substituted by S.R. 1995, No. 35, Applied:28 Jun 1995] A contributor who is employed by a prescribed authority which, with the approval of the Minister, has elected to participate in the non-contributory scheme established under Part 5 by notice in writing to the Board, may elect to exempt himself or herself from contributing to the Fund.(4B) [Regulation 23 Subregulation (4B) amended by No. 18 of 1999, Sched. 4, Applied:14 May 1999] [Regulation 23 Subregulation (4B) amended by S.R. 1996, No. 168, Applied:04 Dec 1996] [Regulation 23 Subregulation (4B) inserted by S.R. 1995, No. 35, Applied:28 Jun 1995] A contributor who is employed by a prescribed authority which, with the approval of the Minister, has elected to participate in a scheme other than a scheme established under these regulations by notice in writing to the Board, may elect to exempt himself or herself from contributing to the Fund.(4C) [Regulation 23 Subregulation (4C) inserted by S.R. 1995, No. 35, Applied:28 Jun 1995] A person who makes an election under subregulation (4B) (a) ceases to be a contributor on the day on which the exemption is granted; and(b) is not an eligible employee; and(c) is entitled to an amount equal to the lump sum benefit as provided in regulation 41 , to be distributed as follows:(i) [Regulation 23 Subregulation (4C) amended by S.R. 1995, No. 104, Applied:11 Oct 1995] [Regulation 23 Subregulation (4C) amended by S.R. 1996, No. 168, Applied:04 Dec 1996] five-sevenths or any other proportion the Minister on the advice of the Actuary determines of the lump sum benefit that would have been payable if the employee had always contributed at the basic contribution rate is to be transferred to an account established under regulation 63 ;(ii) [Regulation 23 Subregulation (4C) amended by S.R. 1995, No. 104, Applied:11 Oct 1995] the balance is to be transferred to an investment account established under regulation 60 .(5) If a permanent employee who, immediately before 1 April 1987, did not contribute to the Fund because he or she was not permitted to contribute on medical grounds, that employee continues to be exempt from contributing unless he or she elects in writing to the Board, not to remain so exempt.(6) [Regulation 23 Subregulation (6) substituted by S.R. 1996, No. 168, Applied:04 Dec 1996] If a permanent employee is exempt from contributing under these regulations, or was previously exempted under either the repealed Act, the Retirement Benefits Act 1970 or the Superannuation Act 1938 , that employee is not obliged to contribute to the Fund unless, by notice in writing, the employee elects to contribute to the Fund on and from a date determined by the Board having regard to the wishes of the employee.(6A) [Regulation 23 Subregulation (6A) inserted by S.R. 1996, No. 168, Applied:04 Dec 1996] For the purposes of subregulation (6) , a permanent employee includes a married female employee who (a) has been continuously employed since 1 July 1982; and(b) is not contributing to the Fund.(6B) [Regulation 23 Subregulation (6B) inserted by S.R. 1996, No. 168, Applied:04 Dec 1996] If the date the Board determines under subregulation (6) is before the date of the employee's election under that subregulation, the Board may require the employee to pay any contributions that would have been payable from the date determined by the Board, together with any interest the Board determines to be payable on those contributions.(6C) [Regulation 23 Subregulation (6C) inserted by S.R. 1996, No. 168, Applied:04 Dec 1996] On and from the date determined by the Board under subregulation (6) , an employee to whom that subregulation applies (a) is taken to be a permanent employee within the meaning of this Part; and(b) ceases to be an eligible employee on the date he or she becomes a contributor; and(c) is entitled to have transferred to an account established under regulation 63 an amount equal to the lump sum benefit as provided in regulation 54 or 55 .(7) [Regulation 23 Subregulation (7) amended by S.R. 1994, No. 178, Applied:01 Jul 1994] [Regulation 23 Subregulation (7) substituted by S.R. 1995, No. 35, Applied:28 Jun 1995] If a permanent employee to whom subregulation (2) , (3) , (4) or (4A) applies is a contributor to the Fund and is granted an exemption from contributing (a) he or she ceases to be a contributor on the day on which the exemption is granted; and(b) is entitled to an amount equal to the lump sum benefit as provided in regulation 41 , to be distributed as follows:(i) [Regulation 23 Subregulation (7) amended by S.R. 1995, No. 104, Applied:11 Oct 1995] [Regulation 23 Subregulation (7) amended by S.R. 1996, No. 168, Applied:04 Dec 1996] five-sevenths or any other proportion the Minister on the advice of the Actuary determines of the lump sum benefit that would have been payable if the employee had always contributed at the basic contribution rate is to be transferred to an account established under regulation 63 ;(ii) [Regulation 23 Subregulation (7) amended by S.R. 1995, No. 104, Applied:11 Oct 1995] the balance is to be transferred to an investment account established under regulation 60 .(8) [Regulation 23 Subregulation (8) amended by S.R. 1995, No. 35, Applied:28 Jun 1995] A permanent employee who is exempt from contributing under this regulation is taken to be an eligible employee for the purposes of Part 5 on and from the date on which the exemption is granted.(9) [Regulation 23 Subregulation (9) inserted by S.R. 1995, No. 35, Applied:28 Jun 1995] A contributor who is employed under a prescribed contract of employment that makes provision for alternative superannuation arrangements in substitution for membership of the contributory scheme established under Part 4 (a) is not entitled to continue to contribute to the Fund; and(b) is not an eligible employee; and(c) is entitled to an amount equal to the lump sum benefit as provided in regulation 41 , to be distributed as follows:(i) [Regulation 23 Subregulation (9) amended by S.R. 1995, No. 104, Applied:11 Oct 1995] [Regulation 23 Subregulation (9) amended by S.R. 1996, No. 168, Applied:04 Dec 1996] five-sevenths or any other proportion the Minister on the advice of the Actuary determines of the lump sum benefit that would have been payable if the employee had always contributed at the basic contribution rate is to be transferred to an account established under regulation 63 ;(ii) [Regulation 23 Subregulation (9) amended by S.R. 1995, No. 104, Applied:11 Oct 1995] the balance is to be transferred to an investment account established under regulation 60 .
23A. Ineligibility to become contributors
[Regulation 23A Inserted by S.R. 1994, No. 178, Applied:01 Jul 1994] [Regulation 23A Amended by S.R. 1996, No. 168, Applied:04 Dec 1996] [Regulation 23A Substituted by No. 79 of 1997, Sched. 4, Applied:15 Jan 1998](1) [Regulation 23A Subregulation (1) amended by No. 18 of 1999, Sched. 4, Applied:14 May 1999] A permanent employee of a prescribed authority is not eligible to become a contributor if (a) an Act allows that authority to establish superannuation arrangements for its employees; and(b) that authority, with the approval of the Minister, has elected to participate in the non-contributory scheme established under Part 5 or in a scheme other than a scheme established under these regulations and not in a scheme established under Part 4 .(2) A person who is not eligible to become, or again to become, a contributor.(a) becomes an employee of the company referred to in section 4 of the Metro Tasmania Act 1997 ; or(b) as an employee, elects under regulation 45B not to continue as a contributor
24. Recognition of certain periods of non-contributory service
(1) Subject to the Retirement Benefits (Transitional) Regulations 1994 , a person who is a permanent employee on 1 July 1994 or who, after that day, becomes a permanent employee and and in respect of the period of service to which paragraphs (a) , (b) or (c) relate, did not make contributions, may, by notice in writing to the Board, elect that his or her period of non-contributory or prior service, or a specified part of that period, be regarded as service for the purposes of this Part.(a) immediately before becoming a permanent employee, was a student teacher, cadet, apprentice or a trainee of any other kind, employed in an Agency; or(b) immediately before becoming a permanent employee, was an employee within the meaning of the Superannuation Act 1938 , the Retirement Benefits Act 1970 or the repealed Act; or(c) [Regulation 24 Subregulation (1) amended by S.R. 1994, No. 178, Applied:01 Jul 1994] [Regulation 24 Subregulation (1) amended by S.R. 1995, No. 104, Applied:11 Oct 1995] who, under regulation 30 , proceeds on leave without pay other than sick leave or parental leave under regulation 30(7)(b) ; or(d) [Regulation 24 Subregulation (1) amended by S.R. 1994, No. 178, Applied:01 Jul 1994] at some time previously was a contributor but had resigned; or(e) at some time previously had, as a married female employee, elected not to pay contributions or had not been obliged to make contributions (2) If a permanent employee has made an election under subregulation (1) , the employee may, subject to subregulation (3) , enter into one or more arrangements with the Board, either immediately or at some future time or both, under which the whole or part of the period of service referred to in the election is treated as service as a contributor to the Fund.(3) Before making arrangements with a contributor under subregulation (2) , the Board may direct that the contributor undergoes any reasonable medical examinations the Board may require.(4) [Regulation 24 Subregulation (4) substituted by S.R. 1994, No. 178, Applied:01 Jul 1994] If an employee enters into an arrangement under subregulation (2) , he or she is to pay to the Board a sum calculated in accordance with the following formula:where A is the amount of contributions to be paid to the Fund by the employee;B is the full-time equivalent average annual salary received by the employee in relation to the year immediately preceding the date of the upgrade calculation;PBMF is the purchased benefit multiple factor calculated by multiplying the period or periods of the contributor's past full-time equivalent service by the difference in the benefit multiple factor as provided in regulation 33(1) for each of those periods;C is the percentage, as determined by the Actuary, applicable to the employee, having regard to his or her age when he or she enters into the arrangement, his or her age for retirement and all other relevant factors, being the actuarial equivalent of the additional total benefit that will be derived under these regulations if the employee purchases the service and pays the sum calculated in accordance with this subregulation.(5) A sum required to be paid under an arrangement under subregulation (2) is to be paid in a lump sum or in any manner the Board determines but not later than 12 months after the contributor enters into the arrangement.(6) [Regulation 24 Subregulation (6) amended by No. 18 of 1999, Sched. 4, Applied:14 May 1999] [Regulation 24 Subregulation (6) amended by S.R. 1996, No. 168, Applied:04 Dec 1996] [Regulation 24 Subregulation (6) substituted by S.R. 1994, No. 178, Applied:01 Jul 1994] On receipt of a lump sum under subregulation (5) , the amount of future contributions required to be made under regulation 90 by the Minister or a prescribed authority is to be reduced, as soon as practicable, by an amount equal to five-sevenths of the lump sum received or any other amount the Minister determines on the advice of the Actuary.(7) [Regulation 24 Subregulation (7) amended by No. 18 of 1999, Sched. 4, Applied:14 May 1999] [Regulation 24 Subregulation (7) amended by S.R. 1996, No. 168, Applied:04 Dec 1996] On receipt of the lump sum referred to in subregulation (5) , the Board is to credit the contributor's account with a sum equal to the difference between the lump sum and the amount paid to the Minister or prescribed authority under subregulation (6) .
25. Recognition of service under the repealed Act
(1) A person who on 30 June 1994 is or was a contributor to the fund established under the repealed Act, and who is not an amalgamated contributor or a provident fund contributor, is to be credited with service for the purposes of this Part as provided in the Retirement Benefits (Transitional) Regulations 1994 .(2) For the purposes of subregulation (1) , the period of service (a) is to be a period expressed in years; and(b) in the case of a contributor employed on a full-time basis throughout the period of service, is to be defined as a period or periods comprising service to (i) the 40 years' service scheme at the higher rate of contribution; or(ii) the 40 years' service scheme at the lower rate of contribution; or(iii) the 35 years' service scheme; or(iv) the 30 years' service scheme; or(c) in the case of a contributor employed on a part-time basis or partly on a part-time basis and partly on a full-time basis, is to be defined as a period or periods of full-time equivalent service to (i) the 40 years' service scheme at the higher rate of contribution; or(ii) the 40 years' service scheme at the lower rate of contribution; or(iii) the 35 years' service scheme; or(iv) the 30 years' service scheme; and(d) is to be calculated in accordance with the term "service" as defined in the repealed Act and adjusted by application of sections 59 and 61 of that Act.(3) A person who under the Retirement Benefits (Transitional) Regulations 1994 becomes a contributor on or after 1 July 1994 but with effect to a date before 1 July 1994, is to be credited with service for the purposes of this Part as provided in those regulations.(4) For the purposes of subregulation (3) , the period of service (a) is to be a period expressed in years; and(b) in the case of a person employed on a full-time basis throughout the period of service, is to be specified as if that person had always been contributing at the basic contribution rate; and(c) in the case of a person employed on a part-time basis or partly on a part-time basis and partly on a full-time basis, is to be specified as a period of full-time equivalent service at the basic contribution rate.(5) The Board is to include in a statement issued each year to a contributor a reference to the period or periods of service before 1 July 1993 that are recognized for the purposes of this Part.
Division 2 - Contributions
26. Obligation of certain employees to contribute
(1) A person under the age for retirement who must, unless exempted under regulation 23 , contribute to the Fund.(a) is an existing contributor; or(b) is an amalgamated contributor; or(c) is a provident fund contributor; or(d) becomes a permanent employee on or after 1 July 1994; or(e) under regulation 21 is taken to be a permanent employee (2) A person to whom subregulation (1)(a) applies must contribute at the commensurate rate of contribution provided in regulation 29(1) unless the person elects in writing to the Board to contribute under this regulation at another rate of contribution.(3) A person to whom subregulation (1)(d) applies must contribute at the rate provided in regulation 29 unless the person elects in writing to the Board to contribute under this regulation at a higher rate of contribution.(4) A person who makes an election under subregulation (2) or (3) must specify in that election the rate of contribution to be made by him or her, being a rate consisting of multiples of 1% of salary, with the minimum rate of contribution being 5% of salary and the maximum rate of contribution being 11% of salary, or any higher rate the Board approves.(5) [Regulation 26 Subregulation (5) substituted by S.R. 1994, No. 178, Applied:01 Jul 1994] If, under subregulation (2) or (3) , a person elects to increase the rate of contributions retrospectively, he or she, subject to subregulation (6) , must enter into an arrangement with the Board for the payment of a sum calculated in accordance with the following formula:where A is the amount of contributions to be paid to the Fund by the employee;B is the full-time equivalent average annual salary received by the employee in relation to the year immediately preceding the date of the upgrade calculation;PBMF is the purchased benefit multiple factor calculated by multiplying the period or periods of the contributor's past full-time equivalent service by the difference in the benefit multiple factor as provided in regulation 33(1) for each of those periods;C is the percentage, as determined by the Actuary, applicable to the employee, having regard to his or her age when he or she enters into the arrangement, his or her age for retirement and all other relevant factors, being the actuarial equivalent of the additional total benefit that will be derived under these regulations if the employee purchases the service and pays the sum calculated in accordance with this subregulation.(5A) [Regulation 26 Subregulation (5A) inserted by S.R. 1994, No. 178, Applied:01 Jul 1994] The Board is to deal with a sum received under subregulation (5) in accordance with regulation 20A of the Transitional Regulations.(6) Before making arrangements with a contributor under subregulation (5) , the Board may direct that the person undergoes any reasonable medical examinations the Board requires.(7) A sum required to be paid under an arrangement under subregulation (5) is to be paid in a lump sum or in any manner the Board determines but not later than 12 months after the contributor enters into the arrangement.(8) Where a person pays to the Board the sum required under an arrangement under subregulation (5) , his or her benefit is to be calculated as if he or she had in respect of the period for which the arrangement had been made at all times during his or her service contributed at the higher rate of contribution.(9) If a person does not pay to the Board the sum required under an arrangement under subregulation (5) , he or she is taken to have commenced to contribute to the Fund at the higher rate of contribution on the day the Board determines.(10) A person who has made an election to pay contributions above the basic contribution rate may, by notice in writing to the Board, elect to revoke or vary that election.(11) [Regulation 26 Subregulation (11) substituted by No. 18 of 1999, s. 56, Applied:14 May 1999] If a contributor has revoked his or her election to pay additional contributions above the basic contribution rate, the Board may (a) refund to him or her the total of all excess contributions paid above that rate together with interest accrued as at 30 June 1999, if it is satisfied that the contributor would suffer financial hardship on failure to make the refund; and(b) subject to the Commonwealth preservation standards, refund to him or her the total of all excess contributions paid above that rate after 30 June 1999 together with accrued interest.
27. Commencement and cessation of contributions
(1) The contributions of a permanent employee are to commence on the day on which he or she is appointed to the office or position by virtue of which he or she is an employee.(2) The contributions of a person to whom regulation 21 refers commence on the day that the person is taken to have become a permanent employee.(3) [Regulation 27 Subregulation (3) amended by No. 18 of 1999, s. 57, Applied:14 May 1999] [Regulation 27 Subregulation (3) amended by No. 19 of 1998, s. 6, Applied:19 Jun 1998] Except as provided in subregulation (4) or (5) , an employee's contributions cease to be payable on the day on which he or she ceases, for any reason, to be an employee or attains age 70 years or ceases to be a contributor, whichever is the earliest.(4) The contributions of a permanent employee who contributes to the Fund as an amalgamated contributor cease to be payable (a) with respect to that part of the employee's contributions applicable to units contributed under the Superannuation Act 1938 , as if section 18 of that Act was still in force; and(b) [Regulation 27 Subregulation (4) amended by No. 18 of 1999, s. 57, Applied:14 May 1999] with respect to that part of the employee's contributions payable after 1 July 1994, on the day on which he or she ceases, for any reason, to be an employee or on the day on which he or she attains age 70 years, whichever is the earlier.(5) [Regulation 27 Subregulation (5) inserted by No. 18 of 1999, s. 57, Applied:14 May 1999] A person who has attained the age of 65 years and who remains an employee for at least 10 hours a week may, by notice in writing to the Board, elect not to continue to contribute to the Fund.
28. Time and manner of paying contributions
(1) Except as otherwise provided in these regulations, the contributions of a contributor are to be deducted from his or her salary at such periods and in such manner as are determined by the Board.(2) A responsible officer is to (a) prepare a return for every pay period showing the total amount of salary and contributions payable in respect of each contributor in respect of whom he or she is the responsible officer; and(b) forward that return to the Board; and(c) [Regulation 28 Subregulation (2) amended by S.R. 1996, No. 168, Applied:04 Dec 1996] in the case of contributors whose salaries are paid out of the Consolidated Fund, forward a copy of the return to the Minister.
29. Rates of contributions and related matters
(1) The contributions payable on and after 1 July 1994 by a person who is an existing contributor, but not an amalgamated contributor or a provident fund contributor, are to be in accordance with the following table:
Rate of contribution payable under Schedule 3 to repealed Act as at 30 June 1994
Rate of contribution under these regulations
Basis of contributions
% of salary
% of salary
40 years service scheme at lower rate
2.75
2.5
40 years service scheme at higher rate
5.5
5.0
35 years service scheme
8.0
8.0
30 years service scheme
11.0
11.0
(2) The contributions payable on and after 1 July 1994 by a person who is contributing to the Fund as an amalgamated contributor are to comprise (a) a sum equal to the contributions that would have been payable to the fund established under the Superannuation Act 1938 immediately before 1 July 1982; and(b) 5% of any increase in salary received on or after 1 July 1982.(3) The contributions payable by a person who becomes a permanent employee on or after 1 July 1994 are to comprise (a) if the person has not made an election to contribute at a higher rate under regulation 26 , 5% of salary; or(b) if the person has made an election under that regulation, the percentage of salary specified in that election, being a percentage not less than 5% and not greater than 11%, unless otherwise approved by the Board.(4) The contributions payable on and after 1 July 1994 by a provident fund contributor are to comprise 7.5% of salary.(5) If an amount calculated in accordance with this regulation includes a fraction of a cent (a) if the fraction is 0.5 cents or more, that amount is to be increased to the next highest whole number of cents; or(b) if the fraction is less than 0.5 cents, that amount is to be reduced to the next lowest whole number of cents.
30. Contributions while on leave on less than full pay or interim invalidity pension
(1) [Regulation 30 Subregulation (1) amended by S.R. 1995, No. 104, Applied:11 Oct 1995] [Regulation 30 Subregulation (1) substituted by S.R. 1994, No. 178, Applied:01 Jul 1994] Except as provided in this regulation, a contributor who immediately before 1 July 1994 is on leave of absence for any period on less than full pay, on sick leave without pay or on parental leave is, subject to subregulation (7)(a) , to continue to contribute to the Fund.(2) If, under regulation 96 , the Board has determined that a contributor is entitled to an interim invalidity pension, that contributor is, for the purposes of this regulation, taken to be on sick leave without pay.(3) The rate of contribution payable under subregulation (1) is the rate at which the contributor would have been required to contribute to the Fund if the contributor had continued to receive his or her full salary in respect of that period and if, for any reason, the contributor becomes entitled to an increase in salary while absent from duty on that leave, his or her obligation to contribute to the Fund is to be calculated with reference to his or her salary as so increased.(4) [Regulation 30 Subregulation (4) amended by S.R. 1995, No. 104, Applied:11 Oct 1995] [Regulation 30 Subregulation (4) amended by S.R. 1994, No. 178, Applied:01 Jul 1994] If a contributor is on sick leave on less than full pay or without pay or a contributor is on parental leave as provided in subregulation (7)(b) , the Board, on the application of the contributor, may permit him or her to defer contributions for any period not exceeding 2 years the Board approves, subject to any conditions as to the future payment of his or her contributions the Board imposes (including conditions as to the payment of interest).(5) [Regulation 30 Subregulation (5) amended by S.R. 1995, No. 104, Applied:11 Oct 1995] [Regulation 30 Subregulation (5) amended by S.R. 1994, No. 178, Applied:01 Jul 1994] If a contributor on or after 1 July 1994 is on leave of absence without pay other than sick leave or on parental leave under subregulation (7)(a) , he or she is not permitted to contribute to the Fund but on return to duty may, under regulation 24 , purchase recognition of that period of leave of absence as service for the purposes of these regulations.(6) [Regulation 30 Subregulation (6) amended by S.R. 1995, No. 104, Applied:11 Oct 1995] [Regulation 30 Subregulation (6) amended by S.R. 1994, No. 178, Applied:01 Jul 1994] If a contributor on or after 1 July 1994 is on leave of absence without pay, other than sick leave or on parental leave under subregulation (7)(b) , the period during which the contributor is absent from employment as mentioned in that subregulation (a) is not unless he or she purchases recognition of that period under regulation 24 , counted as part of the contributor's service for the purposes of these regulations; and(b) does not affect the contributor's continuity of service for the purposes of these regulations.(7) [Regulation 30 Subregulation (7) amended by S.R. 1995, No. 104, Applied:11 Oct 1995] [Regulation 30 Subregulation (7) amended by S.R. 1994, No. 178, Applied:01 Jul 1994] If after 1 July 1994 a contributor is on parental leave, the contributor, within one month of proceeding on leave or any extended time the Board allows, is to (a) elect not to pay contributions required under subregulation (3) ; or(b) elect to pay the contributions required under subregulation (3) .(8) [Regulation 30 Subregulation (8) amended by S.R. 1995, No. 104, Applied:11 Oct 1995] [Regulation 30 Subregulation (8) amended by S.R. 1994, No. 178, Applied:01 Jul 1994] If a contributor who is on parental leave fails to make the election as provided in subregulation (7) , the contributor is taken to have made an election under paragraph (a) of that subregulation.(9) If a contributor is required under this regulation to pay interest, that interest is taken to be contributions paid by that contributor.(10) [Regulation 30 Subregulation (10) inserted by S.R. 1994, No. 178, Applied:01 Jul 1994] For the purposes of this regulation,leave of absence without pay means a period of leave without pay which exceeds 20 working days in any calendar year.
(1) The Board is to establish an account for every contributor and contributions credited to that account and any interest that is credited under subregulation (2) , less any deductions provided under regulation 32 , are to vest in the employee.(2) A contributor is entitled to interest on any contributions or other payments made by the contributor to the Board.(3) For the purposes of subregulation (2) , interest is to be calculated in accordance with regulation 94 .(4) For the purposes of subregulation (3) , the annual earning rate of the Fund for each relevant financial year is to be determined by the Board on the advice of the Actuary, with unrealized capital gains and losses being brought to account as income and adjusted having regard to (a) the cost of administration of the Fund under regulation 89 ; and(b) the taxation liability of the Fund.
32. Deductions against contributor accounts for death and disability cover
(1) The Board is to establish within the Fund a death and disability account.(2) The Board, having regard to the advice of the Actuary in relation to both the experience of providing death and disability benefits under these regulations and the different commencement date of contributors, is to establish premium rates sufficient to fully meet the cost of death and disability benefits.(3) The premium rates established under subregulation (2) remain in force for a period of 12 months commencing on 1 October in each year and are to be determined having regard to the experience of providing death and disability benefits in the preceding financial year.(4) In relation to each contributor, other than a provident fund contributor, under age 60 years, the Board is to (a) debit the account of that contributor with a premium determined by reference to the salary received by that contributor and the appropriate premium rate established in relation to that contributor under subregulation (2) ; and(b) credit the sum of the amounts debited under paragraph (a) to the death and disability account.(5) The Board, as soon as practicable after 30 June in each year, is to debit the death and disability account with an amount that, in the opinion of the Actuary, was required for the provision of death and disability benefits during the preceding financial year under these regulations.(6) [Regulation 32 Subregulation (6) substituted by S.R. 1994, No. 178, Applied:01 Jul 1994] For the purposes of subregulation (5) , in relation to a contributor in respect of whom a pension or lump sum benefit is paid for reasons of invalidity, partial and permanent incapacity, interim invalidity or death, the insured component of that benefit is taken to be the present value amount of the prospective service element of that pension or benefit, less the present value amount of the State's contributions to the prospective service element of that pension or benefit made under regulation 90 .(7) If, at the end of a financial year the premiums credited to the death and disability account are more than sufficient to meet the cost of death and disability benefits provided under these regulations, the Board is to determine whether to distribute the surplus in the death and disability account amongst the contributors' accounts or to carry it forward to the next year.(8) If, at the end of a financial year those premiums are insufficient to meet those benefits, the Board is to (a) offset the deficiency against that surplus, if a surplus balance has been carried forward from the previous year; or(b) further debit each contributor's account to the extent necessary to cover the deficiency, if there has not been a surplus balance carried forward from the previous year.
Division 3 - Lump sum benefits
33. Interpretation of Division 3
(1) In this Divisionbenefit multiple factor means the benefit factor derived by reference to the rate of contribution of an employee and (a) [Regulation 33 Subregulation (1) amended by S.R. 1994, No. 178, Applied:01 Jul 1994] in respect of the service of an existing contributor before 1 July 1993, is as follows:
Contribution rate (% of salary)
Benefit Multiple Factor
0
0.000
2.75
0.100
5.5
0.200
6
0.206
7
0.217
8
0.229
9
0.242
10
0.254
11
0.267
(b) [Regulation 33 Subregulation (1) amended by S.R. 1994, No. 178, Applied:01 Jul 1994] in respect of the service of a contributor other than an amalgamated contributor or a provident fund contributor on or after 1 July 1993, is as follows:
Contribution rate (% of salary)
Benefit Multiple Factor
0
0.0000
2.5
0.1000
5
0.2000
6
0.2125
7
0.2250
8
0.2375
9
0.2500
10
0.2625
11
0.2750
(2) For the purposes of this Division, where at any time during the period of 3 years immediately preceding the time of his or her resignation, retirement or death, a contributor has been absent on leave without pay or on less than full pay or has preserved his or her benefit or contributions in the Fund in accordance with this Part, the contributor's average annual salary is to be calculated as if he or she had continued to be employed in the same capacity on his or her full pay during the whole period.(3) [Regulation 33 Subregulation (3) inserted by No. 18 of 1999, s. 58, Applied:14 May 1999] This Division is subject to Part 7A .
34. Service for invalidity benefit
(1) [Regulation 34 Subregulation (1) amended by S.R. 1994, No. 178, Applied:01 Jul 1994] If the Board determines under regulation 96 that a contributor, other than a contributor who at his or her actual date of retirement was contributing as a part-time employee, is suffering from invalidity, his or her prospective service for the purpose of regulations 38 and 39 is taken to commence on the day immediately following his or her actual date of retirement and end on the day on which he or she would have attained age 60 years or he or she would have achieved 25 years service, whichever is the earlier.(2) [Regulation 34 Subregulation (2) amended by S.R. 1994, No. 178, Applied:01 Jul 1994] Subject to subregulation (3) , if the Board determines under regulation 96 that a contributor who at his or her actual date of retirement was contributing as a part-time employee is suffering from invalidity, his or her prospective service for the purpose of regulations 38 and 39 is to be calculated in accordance with the following formula:where PS is the contributor's prospective service expressed in years;A is the period expressed in years commencing on the day immediately following his or her actual date of retirement and ending on the day on which he or she would have attained age 60 years or he or she would have achieved 25 years service, whichever is the earlier;B is, in the case of a contributor employed on a part-time basis or employed partly on a full-time basis and partly on a part-time basis, the full-time equivalent of the contributor's length of service as at the date of retirement expressed in years;C is the contributor's length of service as at the date of retirement.(3) [Regulation 34 Subregulation (3) amended by S.R. 1994, No. 178, Applied:01 Jul 1994] If, after any inquiry it thinks fit, the Board is satisfied that a contributor who is a part-time employee had become such an employee for medical reasons, the Board may, for the purposes of regulations 38 and 39 deem that contributor's prospective service as full-time equivalent service.
35. Service and salary for part-time employees
(1) For the purposes of calculating the lump sum benefit to be paid to a contributor who at any time was a permanent or temporary part-time employee, his or her length of service as a part-time employee is to be adjusted to equivalent service in a full-time capacity.(2) For the purpose of calculating the lump sum or pension benefit to be paid to a contributor who, during the final 3 years of service was a permanent or temporary part-time employee, his or her salary is taken to be the salary the contributor would have received if the contributor had been employed as a full-time employee in the office or position held by him or her.(3) Subregulation (2) does not apply to a contributor who is a permanent or temporary part-time employee entitled to an interim invalidity pension.
36. Benefit on retirement of contributor due to age
(1) [Regulation 36 Subregulation (1) amended by S.R. 1994, No. 178, Applied:01 Jul 1994] If a contributor, other than an amalgamated contributor or a provident fund contributor, retires otherwise than because of invalidity after attaining the preservation age but on or before attaining the age for retirement, he or she is entitled to a lump sum benefit calculated in accordance with the following formula:where LS is the lump sum benefit payable;FAS(3) is (a) the average annual salary received by a contributor in respect of the period of 3 years immediately preceding resignation, death or retirement; or(b) in the case of a contributor whose length of service at the time of his or her resignation, death or retirement is less than 3 years, the average annual salary received in respect of the actual period of service;ABMF is the contributor's adjusted benefit multiple factor, calculated by taking the rate or rates of contribution made by the contributor and multiplying the benefit multiple factor prescribed for that rate or those rates of contribution under regulation 33 by the contributor's length of service in years at that rate or for each of those rates of contribution and accumulating each result obtained from these multiplications;PP is the percentage of the lump sum benefit that the contributor has elected, under regulation 77 , to be taken as a pension.(2) [Regulation 36 Subregulation (2) amended by S.R. 1994, No. 178, Applied:01 Jul 1994] If an amalgamated contributor retires otherwise than because of invalidity after attaining the preservation age but on or before attaining the age for retirement, he or she is entitled to a lump sum benefit calculated in accordance with the following formula:where LS is the lump sum benefit payable;SB is the pension value of the units purchased by the contributor under the Superannuation Act 1938 as at 30 June 1982;DS is the differential salary of the amalgamated contributor being the FAS(1) of that contributor less the annual salary payable in respect of that contributor as at 30 June 1982;PP is the percentage of the lump sum benefit that the contributor has elected, under regulation 77 , to be taken as a pension.
37. Benefit on redundancy or compulsory retirement
(1) [Regulation 37 Subregulation (1) amended by No. 19 of 1998, s. 7, Applied:19 Jun 1998] Subject to subregulation (2) and regulation 37A , if a contributor other than a provident fund contributor he or she is entitled to a lump sum benefit calculated in accordance with this regulation.(a) is retired for the reason that (i) his or her service, office or position is unnecessary; or(ii) the work for which he or she was engaged is finished; or(iii) diminution of work necessitates a reduction in the number of employees; or(b) being an officer the term of whose appointment is fixed by law, is not at the end of a term reappointed to his or her office and does not, by reason of some other appointment, continue to be a contributor; or(c) being a contract employee, ceases to be a contract employee by reason of his or her contract not being renewed; or(d) [Regulation 37 Subregulation (1) amended by No. 79 of 1997, Sched. 4, Applied:15 Jan 1998] is retired by virtue of voluntary redundancy under an employment redundancy programme or ceases to be a contributor as a result of a prescribed arrangement (2) If a person who is a contributor under regulation 21 , ceases to be a contributor under this regulation, and has less than 3 years of service, he or she is taken to have resigned and is entitled to benefits calculated under regulation 41 .(3) If a contributor to whom subregulation (1) refers is a contributor, other than an amalgamated contributor or a provident fund contributor, who is less than age 60 years, he or she is entitled to a lump sum benefit calculated in accordance with the following formula:where LS is the lump sum benefit payable;FAS(3) is (a) the average annual salary received by a contributor in respect of the period of 3 years immediately preceding resignation, death or retirement; or(b) in the case of a contributor whose length of service at the time of his or her resignation, death or retirement is less than 3 years, the average annual salary received in respect of the actual period of service;ABMF is the contributor's adjusted benefit multiple factor, calculated by taking the rate or rates of contribution made by the contributor and multiplying the benefit multiple factor prescribed for that rate or those rates of contribution under regulation 33 with the contributor's length of service in years at that rate or for each of those rates of contribution and accumulating each result obtained from these multiplications;PP is (a) in the case of a contributor who has attained the preservation age, is the percentage of the lump sum that the contributor has elected, under regulation 77 , to be taken as a pension; or(b) in the case of a contributor who has not attained the preservation age, 0.(4) If a contributor to whom subregulation (1) refers is an amalgamated contributor aged 65 years or less, he or she is entitled to a lump sum benefit calculated in accordance with the following formula:where LS is the lump sum benefit payable;SB is the pension value of the units purchased by the contributor under the Superannuation Act 1938 as at 30 June 1982;DS is the differential salary of the amalgamated contributor being the FAS(1) of that contributor less the annual salary payable in respect of that contributor as at 30 June 1982;[Regulation 37 Subregulation (4) amended by S.R. 1994, No. 178, Applied:01 Jul 1994][Regulation 37 Subregulation (4) amended by S.R. 1994, No. 178, Applied:01 Jul 1994] PP is (a) in the case of a contributor who has attained the preservation age, the percentage of the lump sum that the contributor has elected under regulation 77 to be taken as a pension; or(b) in the case of a contributor who has not attained the preservation age, 0.(5) If a contributor to whom subregulation (1) refers is a contributor, other than an amalgamated contributor or a provident fund contributor, who is aged 60 years or over but less than age 65 years, he or she is entitled to a lump sum benefit calculated in accordance with the following formula:where LS is the lump sum benefit payable;FAS(3) is (a) the average annual salary received by a contributor in respect of the period of 3 years immediately preceding resignation, death or retirement; or(b) in the case of a contributor whose length of service at the time of his or her resignation, death or retirement is less than 3 years, the average annual salary received in respect of the actual period of service;ABMF is the contributor's adjusted benefit multiple factor, calculated by taking the rate or rates of contribution made by the contributor and multiplying the benefit multiple factor prescribed for that rate or those rates of contribution under regulation 33 with the contributor's length of service in years at that rate or for each of those rates of contribution and accumulating each result obtained from these multiplications;PBMF is the contributor's prospective benefit multiple factor, calculated by taking the basic contribution rate applicable to the contributor and multiplying the benefit multiple factor prescribed for that rate of contribution under regulation 33 by the contributor's length of prospective service in years, commencing on and from the date of his or her retirement and concluding at age 65 years;PP is the percentage of the lump sum benefit that the contributor has elected, under regulation 77 , to be taken as a pension.
37A. Saving for entitlements of certain contributors under repealed Act
[Regulation 37A Inserted by No. 19 of 1998, s. 8, Applied:19 Jun 1998](1) An existing contributor or amalgamated contributor who ceases to be a contributor under regulation 37(1)(d) as a result of a prescribed arrangement may, by notice in writing to the Board, elect to receive a benefit under this regulation instead of a benefit under regulation 37 .(2) An existing contributor who, under regulation 26(4) or 29(1) , is contributing at the basic contribution rate is entitled to a lump sum benefit equal to 3.5 times the balance of the contributor's account under regulation 31 together with a sum calculated under regulation 45(4) .(3) An existing contributor who, under regulation 26(4) or 29(1) , has at any time contributed at a rate greater than 5% of salary is entitled to a lump sum benefit equal to the total of (a) 3.5 times that part of the balance of the contributor's account under regulation 31 that the contributor would have received if he or she had at all relevant times been paying contributions at the basic contribution rate; and(b) the amount of the refund of the balance of the contributor's account under regulation 31 ; and(c) a sum calculated under regulation 45(4) .(4) An amalgamated contributor is entitled to a lump sum benefit equal to 3.5 times the balance of his or her account under regulation 31 together with a sum calculated under regulation 45(4) .
38. Benefit of full benefits contributor on death or retirement due to invalidity
(1) [Regulation 38 Subregulation (1) amended by S.R. 1995, No. 35, Applied:28 Jun 1995] If, before attaining the age for retirement a contributor for full benefits, other than an amalgamated contributor or a provident fund contributor the contributor, or if the contributor has died, the spouse, or in the absence of a spouse, the estate of the contributor, is entitled to a lump sum benefit calculated in accordance with the following formula:where (a) retires on the grounds of invalidity; or(b) dies LS is the lump sum benefit payable;FAS(3) is (a) the average annual salary received by a contributor in respect of the period of 3 years immediately preceding resignation, death or retirement; or(b) in the case of a contributor whose length of service at the time of his or her resignation, death or retirement is less than 3 years, the average annual salary received in respect of the actual period of service;ABMF is the contributor's adjusted benefit multiple factor, calculated by taking the rate or rates of contribution made by the contributor and multiplying the benefit multiple factor prescribed for that rate or those rates of contribution under regulation 33 by the contributor's length of service in years at that rate or for each of those rates of contribution and accumulating each result obtained from those multiplications;PBMF is the contributor's prospective benefit multiple factor, calculated by taking the basic contribution rate applicable to the contributor and multiplying the benefit multiple factor prescribed for that rate of contribution under regulation 33 by whichever is the lesser of the following:(a) the contributor's length of prospective service in years, commencing on and from the date of his or her retirement or death and concluding on the date on which he or she would have attained age 60 years; or(b) 25 years;PP is the percentage of the lump sum benefit that the contributor or the spouse of a contributor has elected, under regulation 77 , to be taken as a pension.(2) [Regulation 38 Subregulation (2) amended by S.R. 1995, No. 35, Applied:28 Jun 1995] If, before attaining the age for retirement, an amalgamated contributor the contributor, or if the contributor has died, the spouse, or in the absence of the spouse, the estate of the contributor, is entitled to a lump sum benefit calculated in accordance with the following formula:where (a) retires on the grounds of invalidity; or(b) dies LS is the lump sum benefit payable;SB is the pension value of the units purchased by the contributor under the Superannuation Act 1938 as at 30 June 1982;DS is the differential salary of the amalgamated contributor being the FAS(1) of that contributor less the annual salary payable in respect of that contribution as at 30 June 1982;PP is the percentage of the lump sum benefit that the contributor or the spouse of a contributor has elected, under regulation 77 , to be taken as a pension.(3) [Regulation 38 Subregulation (3) inserted by S.R. 1994, No. 178, Applied:01 Jul 1994] A person aggrieved by the refusal of the Board to make any payment of a benefit under this regulation may make a complaint against the Board under the Justices Act 1959 .(4) [Regulation 38 Subregulation (4) inserted by S.R. 1994, No. 178, Applied:01 Jul 1994] On the hearing of the complaint, the magistrate, on being satisfied that the complainant is entitled to some or all of the benefit under this regulation, may order that the benefit, or some proportion of that benefit, be paid to the complainant.(5) [Regulation 38 Subregulation (5) inserted by S.R. 1994, No. 178, Applied:01 Jul 1994] In this regulation,contributor includes the estate of the contributor if the contributor elects in writing to the Board that in the event of his or her death the death benefit is to be paid to his or her estate.
39. Benefits of limited benefits contributor on death or retirement due to invalidity
[Regulation 39 Substituted by S.R. 1994, No. 178, Applied:01 Jul 1994](1) [Regulation 39 Subregulation (1) amended by S.R. 1995, No. 35, Applied:28 Jun 1995] If, before attaining the age for retirement, a contributor for limited benefits, other than an amalgamated contributor or a provident fund contributor the contributor, or if the contributor has died, the spouse, or in the absence of a spouse, the estate of that contributor is entitled to a lump sum benefit calculated in accordance with the following formula:where (a) retires on the grounds of invalidity; or(b) dies LS is the lump sum benefit payable;FAS(1) is (a) the average annual salary received by a contributor in respect of the year preceding his or her resignation, death or retirement; or(b) in the case of a contributor whose length of service at the time of his or her resignation, death or retirement is less than one year, the average annual salary received in respect of his or her actual period of service;FAS(3) is (a) the average annual salary received by a contributor in respect of the period of 3 years immediately preceding resignation, death or retirement; or(b) in the case of a contributor whose length of service at the time of his or her resignation, death or retirement is less than 3 years, the average annual salary received in respect of the actual period of service;ABMF is the contributor's adjusted benefit multiple factor, calculated by taking the rate or rates of contribution made by the contributor and multiplying the benefit multiple factor prescribed for that rate or those rates of contribution under regulation 33 by the contributor's length of service in years at that rate or for each of those rates of contribution and accumulating each result obtained from these multiplications;PS is the prospective service in years between the date of the limited benefits contributor's retirement or death and the day he or she would have attained age 60 years;PP is the percentage of the lump sum benefit that the contributor, or the spouse of the contributor has elected, under regulation 77 , to be taken as a pension;PRC is the prescribed rate of contribution, as defined in regulation 46 , at the date of the limited benefits contributor's retirement or death.(2) A person aggrieved by the refusal of the Board to make any payment of a benefit under this regulation may make a complaint against the Board under the Justices Act 1959 .(3) On the hearing of the complaint, the magistrate, on being satisfied that the complainant is entitled to some or all of the benefit under this regulation, may order that the benefit, or some proportion of that benefit, be paid to the complainant.(4) In this regulation,contributor includes the estate of the contributor if the contributor elects in writing to the Board that in the event of his or her death the death benefit is to be paid to his or her estate.
40. Interim invalidity and spouse pension
(1) If the Board determines, under regulation 96 , that a contributor other than a provident fund contributor is entitled to an interim invalidity pension and the contributor has been absent from duty on sick leave without salary for a continuous period of 30 days, the contributor is entitled to a pension equal to 75% of the salary received by the contributor over the last 12 months of employment for a period not exceeding 2 years, or any shorter period, the Board determines.(2) An interim invalidity pension is subject to indexation as provided by regulation 81 .(3) The Board is to suspend the interim invalidity pension provided in subregulation (1) if the contributor (a) engages in any business or occupation on his or her own account; or(b) is in the opinion of the Board employed; or(c) [Regulation 40 Subregulation (3) amended by S.R. 1995, No. 104, Applied:11 Oct 1995] is in receipt of benefits paid in accordance with the Workers Rehabilitation and Compensation Act 1988 .(4) If the period for which an interim invalidity pension payable under this regulation has expired, that pension ceases and the contributor is taken to have resigned unless the Board grants a benefit under regulation 38 or 39 or the contributor returns to duty.(5) [Regulation 40 Subregulation (5) amended by S.R. 1994, No. 178, Applied:01 Jul 1994] If a contributor dies, the spouse of that contributor is entitled to a pension equal to 75% of the salary received by the contributor over the last 12 months of employment for a period of 3 months, or until the spouse makes an election under regulation 77 , whichever is the earlier.
41. Benefit payable on resignation or dismissal of contributor
(1) If a contributor, other than a provident fund contributor, ceases, before attaining the preservation age, to be a contributor by reason of he or she is entitled to a benefit as provided in this regulation.(a) resignation; or(b) dismissal (2) For the purposes of subregulation (1) , a contributor who has completed 5 or more years service as a contributor, other than as an amalgamated contributor or a provident fund contributor, is entitled to a lump sum calculated in accordance with the following formula:where LS is the lump sum benefit payable;FAS(3) is (a) the average annual salary received by a contributor in respect of the period of 3 years immediately preceding resignation, death or retirement; or(b) in the case of a contributor whose length of service at the time of his or her resignation, death or retirement is less than 3 years, the average annual salary received in respect of the actual period of service;ABMF is the contributor's adjusted benefit multiple factor, calculated by taking the rate or rates of contribution made by the contributor and multiplying the benefit multiple factor prescribed for that rate or those rates of contribution under regulation 33 by the contributor's length of service in years at that rate or for each of those rates of contribution and accumulating each result obtained from these multiplications.(3) For the purposes of subregulation (1) , a contributor, other than an amalgamated contributor or a provident fund contributor, who has completed less than 5 years service as a contributor is entitled to a lump sum benefit calculated in accordance with whichever of the following formulae provides the greater benefit:where LS is the lump sum payable;RC is the balance of contributions and interest in the contributor's account established under regulation 31 ;S is the contributor's length of service expressed in years;SBMF is the State's benefit multiple factor comprising (a) in respect of a person contributing at the rate of 2.5% of salary, a factor of 0.075; or(b) in all other cases, a factor of 0.15;FAS(3) is (a) the average annual salary received by a contributor in respect of the period of 3 years immediately preceding resignation, death or retirement; or(b) in the case of a contributor whose length of service at the time of his or her resignation, death or retirement is less than 3 years, the average annual salary received in respect of the actual period of service;n is the length of service of the contributor in days;NCSB is the benefit that would have been payable if the contributor had been an eligible employee under Part 5 .(4) For the purposes of subregulation (1) , an amalgamated contributor is entitled to a lump sum benefit calculated in accordance with the following formula:where LS is the lump sum benefit payable;SB is the pension value of the units purchased by the contributor under the Superannuation Act 1938 as at 30 June 1982;DS means the differential salary of the amalgamated contributor being the FAS(1) of that contributor less the annual salary payable in respect of that contribution as at 30 June 1982.
42. Benefit payable on retirement or death after retirement age
[Regulation 42 Substituted by S.R. 1994, No. 178, Applied:01 Jul 1994](1) [Regulation 42 Subregulation (1) amended by S.R. 1995, No. 35, Applied:28 Jun 1995] If a contributor, other than an amalgamated contributor or a provident fund contributor, continues to be a permanent employee after attaining the age for retirement, the contributor, or if the contributor has died, the spouse, or in the absence of the spouse, the estate of the contributor is entitled on retirement or death or on attaining age 70 years, whichever is the earlier, to a lump sum benefit calculated in accordance with the following formula:where LS is the lump sum benefit payable;FAS(3) is (a) the average annual salary received by a contributor in respect of the period of 3 years immediately preceding resignation, death or retirement; or(b) in the case of a contributor whose length of service at the time of his or her resignation, death or retirement is less than 3 years, the average annual salary received in respect of the actual period of service;[Regulation 42 Subregulation (1) amended by No. 18 of 1999, s. 59, Applied:14 May 1999] ABMF is the contributor's adjusted benefit multiple factor, calculated by taking the rate or rates of contribution made by the contributor and multiplying the benefit multiple factor prescribed for that rate or those rates of contribution under regulation 33 by the contributor's length of service in years to the date when he or she ceased paying contributions under regulation 27(5) at that rate or for each of those rates of contribution and accumulating each result obtained from those multiplications;PP is the percentage of the lump sum benefit that the contributor or the spouse of the contributor has elected under regulation 77 to be taken as a pension;[Regulation 42 Subregulation (1) amended by No. 18 of 1999, s. 59, Applied:14 May 1999] PRS is the contributor's post age of retirement length of service expressed in years commencing on and from the date when he or she ceased paying contributions under regulation 27(5) and concluding on the date of the contributor's actual retirement or death or at age 70 years, whichever is the earlier;SBMF is the State's benefit multiple factor comprising (a) in respect of a person contributing at the rate of 2.5% of salary, a factor of 0.075; and(b) in all other cases a factor of 0.15.(2) A person aggrieved by the refusal of the Board to make any payment of a benefit under this regulation may make a complaint against the Board under the Justices Act 1959 .(3) On the hearing of the complaint, the magistrate, on being satisfied that the complainant is entitled to some or all of the benefit under this regulation, may order that the benefit, or some proportion of that benefit, be paid to the complainant.(4) In this regulation,contributor includes the estate of the contributor if the contributor elects in writing to the Board that in the event of his or her death the death benefit is to be paid to his or her estate.
43. Preservation of contributions
[Regulation 43 Subregulation (1) amended by No. 79 of 1997, Sched. 4, Applied:15 Jan 1998] [Regulation 43 Subregulation (1) substituted by S.R. 1995, No. 35, Applied:28 Jun 1995] [Regulation 43 Subregulation (2) amended by S.R. 1996, No. 168, Applied:04 Dec 1996] [Regulation 43 Subregulation (3) amended by No. 79 of 1997, Sched. 4, Applied:15 Jan 1998] [Regulation 43 Subregulation (7) inserted by No. 19 of 1998, s. 9, Applied:19 Jun 1998] [Regulation 43 Substituted by No. 18 of 1999, s. 60, Applied:01 Jul 1999](1) This regulation takes effect on 1 July 1999.(2) In this regulation benefit means a benefit calculated under regulation 37 , 37A or 41 ;employee component means a benefit less the employer component of that benefit;employer component means five-sevenths, or any other proportion that the Minister on the advice of the Actuary determines, of a benefit that would have been payable if the contributor had always contributed at the basic contribution rate.(3) A benefit in respect of a contributor who, at the age of retirement, resignation, dismissal or cessation of employment as a result of a prescribed arrangement, is aged less than the preservation age is to be preserved compulsorily as provided by this regulation until (a) the contributor retires from the work force after attaining the preservation age and elects, by notice in writing to the Board, to receive the benefit; or(b) the benefit is released under regulation 69 .(4) A benefit calculated under regulation 37 is to be preserved as follows:whichever amount is the lesser, is to be transferred to his or her investment account and the balance is to be transferred to his or her compulsory preservation account.(a) the employee component is to be transferred to the contributor's investment account;(b) the employer component is to be transferred to his or her compulsory preservation account or, if the contributor so elects (c) the total amount of the benefit; or(d) an amount equal to 3.5 times the balance standing to the credit of his or her contributory account calculated as if he or she had always contributed at the basic contribution rate, together with any part of that account attributable to contributions in excess of that rate (5) A benefit calculated under regulation 37A is to be preserved as follows:(a) the total benefit is to be transferred to the contributor's investment account;(b) if the contributor so elects, the employee component of the benefit payable is to be transferred to his or her investment account and the employer component of that benefit is to be transferred to his or her compulsory preservation account.(6) A benefit calculated under regulation 41(2) or (4) is to be preserved as follows:(a) the employee component is to be transferred to the contributor's investment account;(b) the employer component is to be transferred to his or her compulsory preservation account.(7) A benefit calculated under regulation 41(3) is to be preserved as follows:(a) the amount standing to the credit of the contributor's account is to be transferred to his or her investment account;(b) the balance of the total benefit is to be transferred to his or her compulsory preservation account.(8) On application in writing to the Board by a contributor to whom subregulation (3) applies and who was a contributor on 30 June 1999, the Board must pay to him or her an amount which is (a) if the benefit is calculated under regulation 37 whichever amount is the lesser; or(i) the total amount of the benefit; or(ii) an amount equal to 3.5 times the balance standing to the credit of his or her contributory account calculated as at 30 June 1999 as if he or she had always contributed at the basic contribution rate, together with any part of that account attributable to contributions in excess of that rate calculated as at that date (b) if the benefit is calculated under regulation 37A , an amount equal to 3.5 times the balance standing to the credit of the contributor's account calculated as at 30 June 1999 as if he or she had always contributed at the basic contribution rate, together with any part of that account attributable to contributions in excess of that rate calculated as at that date; or(c) if the benefit is calculated under regulation 41 (i) the amount of the employee component calculated as at 30 June 1999; and(ii) the amount of the employer component, if that component is not required to be preserved under the law of the Commonwealth.(9) Subregulation (8) does not apply to a contributor who has made an election under subregulation (5)(b) .(10) A contributor who is entitled to an amount under subregulation (8) may apply in writing to the Board (a) to be paid the whole or a part of the amount; or(b) to transfer the whole or a part of the amount to his or her investment account; or(c) to transfer the whole or a part of the amount to another regulated superannuation fund or eligible rollover fund.(11) If an amount is paid under subregulation (8) (a) the Board must debit the compulsory preservation account of the relevant contributor with the amount payable under regulation 90 and the amount, if any, payable under regulation 90A ; and(b) the balance of the amount paid under subregulation (8) is to be debited to his or her investment account.(12) If a former contributor becomes entitled to a lump sum benefit under this Part other than a benefit mentioned in subregulation (3) , he or she may (a) leave the benefit in his or her investment account; and(b) on attaining the age of 70 years or an earlier age that is not less than the preservation age and is specified in writing to the Board, elect to receive the benefit as a lump sum, an allocated pension or a pension as provided by regulation 77 .
44. Benefit payable to provident fund contributor
(1) If a provident fund contributor ceases to hold office as a police officer for any reason, the personal representative, in the case of the death of the contributor, is entitled to be paid out of the Fund a lump sum benefit calculated in accordance with the following formula:where LS is the lump sum benefit payable;BAC is the balance of the provident fund contributor's account at the date he or she ceases to hold office;TB is the transfer balance of the provident fund contributor's account as at 30 June 1994, together with interest on that amount as provided by regulation 94 ;S is the provident fund contributor's length of service;FAS(1) is (a) the average annual salary received by a contributor in respect of the year preceding resignation, death or retirement; or(b) in the case of a contributor whose length of service at the time of resignation, death or retirement is less than one year, the average annual salary received in respect of the actual period of service;SAFB is the balance as at 30 June 1994 of the provident fund contributor's account as an eligible employee under the SAF Agreement, as defined in the repealed Act, indexed at a rate declared by the Board as being equal to movements in the "Average Weekly Ordinary Time Earnings (AWOTE) in Australia" published by the Australian Bureau of Statistics or to movements in the "Consumer Price Index All Groups, All Capital Cities" as declared under regulation 81 , whichever is the greater.(2) For the purposes of subregulation (1) , the indexation rate declared by the Board is to be reviewed at 1 January and 1 July in each year in line with the most recently published AWOTE or Consumer Price Index figure immediately before that review.
45. Supplemental lump sum benefit payable in certain cases
(1) [Regulation 45 Subregulation (1) amended by No. 19 of 1998, s. 10, Applied:19 Jun 1998] If an existing contributor or an amalgamated contributor to whom regulation 36 , 37 , 37A or 42 or clause 7 of Schedule 3 relates, retires and exercises an election under regulation 77(6) to receive a pension calculated under Schedule 3 , the Board may make a supplemental lump sum benefit, unless otherwise provided in this regulation.(2) With respect to an existing contributor or an amalgamated contributor to whom regulation 36 , 37 or 42 relates, eligibility for the supplemental lump sum is determined in accordance with the following formula:where E is the amount required to determine eligibility for the supplemental lump sum benefit;A is the amount of the lump sum benefit payable under regulation 36 , 37 or 42 before taking account of any election made under regulation 77 ;PP is the proportion of the lump sum benefit which the contributor has elected, under regulation 77 to convert to a pension;B is the annual amount of pension that would be payable to the contributor under clause 5 , 6 or 8 of Schedule 3 before taking account of any election made under regulation 77 ;C is the conversion factor derived having regard to the age of the contributor at the date of retirement as follows:
Age
Pension Conversion Factor
55
11
56
10.8
57
10.6
58
10.4
59
10.2
60
10.0
61
9.8
62
9.6
63
9.4
64
9.2
65
9.0
66
8.8
67
8.6
68
8.4
69
8.2
70
8.0
D is the amount referred to in subregulation (4) , calculated as at the date of the retirement of the contributor.(3) If, under subregulation (2) , the product of the formula is negative, a supplemental lump sum benefit is payable and calculated as provided in subregulation (4) .(4) For the purposes of this regulation, the supplemental lump sum comprises a sum equal to the balance, as at 30 June 1994, of the contributor's account as an eligible employee under the SAF Agreement, as set out in the repealed Act indexed at a rate declared by the Board as being equal to movements in the "Average Weekly Ordinary Time Earnings (AWOTE) in Australia" published by the Australian Bureau of Statistics or to movements in the "Consumer Price Index All Groups, All Capital Cities" as declared under regulation 81 , whichever is the greater.(5) For the purposes of subregulation (4) , the indexation rate declared by the Board is to be reviewed as at 1 January and 1 July in each year in line with the most recently published AWOTE or Consumer Price Index figure immediately before that review.
Division 4 - Prescribed arrangements
45A. Declaration of prescribed arrangement
[Regulation 45A of Part 4 Inserted by No. 79 of 1997, Sched. 4, Applied:15 Jan 1998](1) A declaration of a prescribed arrangement may provide that (a) regulation 45B has effect in respect of the rights and entitlements of all contributors whose terms of employment are affected by the prescribed arrangement; or(b) regulation 59A has effect in respect of the rights and entitlements of all eligible employees whose terms of employment are so affected; or(c) both those regulations so have effect.(2) If the declaration provides that regulation 45B or 59A or both of them are to have effect, the declaration is to specify a commencement day for the purposes of the relevant regulation and, on publication of the declaration, the application of the relevant regulation extends to the contributors or eligible employees accordingly.
45B. Application of prescribed arrangements to contributors
[Regulation 45B of Part 4 Inserted by No. 79 of 1997, Sched. 4, Applied:15 Jan 1998](1) This regulation applies to contributors to whom a declaration of a prescribed arrangement is expressed to apply.(2) Within 60 days after the commencement day specified in the declaration, the Board must, in writing, notify the contributors to whom this regulation applies of (a) [Regulation 45B Subregulation (2) amended by No. 19 of 1998, s. 11, Applied:19 Jun 1998] [Regulation 45B Subregulation (2) amended by No. 19 of 1998, Applied:19 Jun 1998] their entitlements under regulation 37 or, if applicable, regulation 37A and the value of the employer contributions to those entitlements under regulation 90 ; and(b) the difference in the level of employer superannuation support provided under regulation 90 for entitlements calculated under this Part and Part 5 .(3) [Regulation 45B Subregulation (3) amended by No. 18 of 1999, Sched. 4, Applied:14 May 1999] After receipt of the notification and within 6 months after the commencement day or a longer period determined by the Board, an employee who was a contributor immediately before that day may, in writing, notify the Board and the person, organisation or prescribed authority to which the relevant services have been transferred that he or she elects not to continue as a contributor.(4) A notice of election under subregulation (3) is to include (a) a copy of the notification referred to in subregulation (2) ; and(b) a statement to the effect that the contributor making the election has taken into account the matters referred to in that notification.(5) On making an election under subregulation (3) , an employee (a) is taken to have ceased to be a contributor as a result of the relevant prescribed arrangement; and(b) [Regulation 45B Subregulation (5) amended by No. 19 of 1998, Applied:19 Jun 1998] is entitled to a lump sum benefit calculated in accordance with regulation 37 or, if applicable, regulation 37A .(6) An employee who does not make an election as mentioned in subregulation (3) is taken to remain as a contributor.
PART 5 - Membership, contributions and benefits of non-contributory scheme
Division 1 - Membership
(1) In this Part prescribed rate of contribution in respect of the allocation to be made to an eligible employee's account under regulation 49 means
Period
Prescribed rate of contribution as a percentage of salary
1 July 1994 to 30 June 1995
5%
1 July 1995 to 30 June 1998
6%
1 July 1998 to 30 June 2000
7%
1 July 2000 to 30 June 2002
8%
1 July 2002 onwards
9%
resign in relation to an eligible employee, means cease to be employed by an Agency before reaching the preservation age, otherwise than on account of (a) death; or(b) invalidity;retire means cease in any manner otherwise than because of death, to be employed on or after reaching the preservation age.(2) For the purposes of this Division, if, at any time during the period of 12 months immediately preceding the time of his or her resignation, retirement or death, a contributor has been absent on leave without pay or on less than full pay or has preserved his or her benefit or contributions in the Fund in accordance with these regulations, the contributor's FAS(1) is to be calculated as if he or she had continued to be employed in the same capacity on his or her full pay during the whole period.
47. Eligibility for membership of scheme
(1) A person who is a member of the scheme established under this Part and must remain a member until such time and for whatever reason that person ceases to be an eligible employee.(a) is an eligible employee on 1 July 1994; or(b) becomes an eligible employee after 1 July 1994; or(c) is taken to be an eligible employee under regulation 23 or 101(4) ; or(d) is under age 70 years (2) An eligible employee, a former eligible employee, a spouse of an eligible employee or a personal representative of an eligible employee or former eligible employee is entitled to receive benefits in accordance with this Part.(3) [Regulation 47 Subregulation (3) inserted by No. 18 of 1999, s. 61, Applied:14 May 1999] An employee who is excluded from the application of these regulations under regulation 4(1)(d) or (da) may elect, by notice in writing to the Board, to become, or again become, an eligible employee.(4) [Regulation 47 Subregulation (4) inserted by No. 18 of 1999, s. 61, Applied:14 May 1999] The notice is to be accompanied by a certificate from the Agency in which the employee is employed that the alternative superannuation arrangements previously in place for that employee will cease on a date specified by the Agency.
48. Recognition of certain contributions and service before commencement of scheme
(1) If an eligible employee who, immediately before 1 July 1993, was a public servant within the meaning of the Public Servants' Retiring and Death Allowances Act 1925 but not a contributor, the continuous service of the eligible employee before 1 July 1993 is to be recognized as service for the purposes of this Part.(2) If an eligible employee who, immediately before the commencement of this Part, was an eligible employee within the meaning of the SAF Agreement established under the repealed Act but not a contributor, the balance of the employee's account under that Agreement together with the balance of the eligible employee's account with respect to his or her entitlements under the Superannuation Guarantee (Administration) Act 1992 of the Commonwealth as at 30 June 1994, is to be transferred to the eligible employee's account under the scheme established under this Part.
Division 2 - Contributions
49. Eligible employee accounts
(1) The Board is to establish an account for every eligible employee and contributions and interest credited to that account are to vest in that employee.(2) The Board is to credit to the account of every eligible employee notional contributions representing an amount equal to the prescribed rate of contribution for each pay period commencing on or after 1 July 1994 or on the day he or she becomes an eligible employee and ceasing on the day that he or she ceases, for any reason, to be an eligible employee.(3) The Board is to credit to the eligible employee's account interest calculated under regulation 50 the sum of the notional contributions referred to in subregulation (2) , including interest on those contributions.(4) The Board is to debit the eligible employee's account for the cost of death and disability cover and any other costs as provided by regulation 52 .(5) If an eligible employee is for any reason on leave without pay, notional contributions or disability premiums are not payable to the credit or debit of his or her account.(6) Notional contributions are not payable to the credit of an eligible employee's account in respect of lump sum payments made instead of unused annual leave and long service leave on the resignation or retirement of an eligible employee.(7) An eligible employee who makes an election under regulation 21 is taken to have resigned on the date he or she becomes a contributor and is entitled to have transferred to an account established under regulation 63 an amount equal to the lump sum benefit as provided by regulation 55 .
50. Interest on notional contributions
(1) [Regulation 50 Subregulation (1) amended by S.R. 1995, No. 35, Applied:28 Jun 1995] For the purposes of this Division, interest to be credited under regulation 49(3) means interest at the long term bond rate as adjusted by the Board from time to time on the advice of the Actuary having regard to (a) the cost of administering eligible employee accounts; and(b) the taxation liability accruing to the Fund in respect of benefits paid under Division 3 of this Part.(2) The Board, on 1 January, 1 April, 1 July and 1 October each year, is to review the rate of interest to be applied to the balance of the accounts of eligible employees.
51. Election not to have death and disability cover
(1) Subject to subregulations (2) and (3) , every eligible employee under age 60 years is to be covered for death and disability benefits as provided by regulations 56 and 57 from 1 July 1994.(2) Eligible employees under age 60 years are to be covered under the provisions of subregulation (1) unless they elect not to be so covered, by notice in writing to the Board, within 6 months of becoming eligible under these regulations, to be covered for death and disability.(3) An election not to be covered for death and disability under subregulation (2) may be made on the grounds that the employee is able to demonstrate to the satisfaction of the Board that he or she has alternative private death and disability cover.(4) If a former eligible employee under age 60 years who has received an invalidity benefit as provided by regulation 56 again becomes an eligible employee, that person is not eligible to be covered for death and disability benefits.
52. Deductions against eligible employee accounts for death and disability cover
(1) If an eligible employee is covered for death and disability benefits under this Part, the Board is to debit to the eligible employee's account an amount equal to 5.0% (or any other percentage the Board, having regard to the advice of the Actuary, determines) of the notional contribution made to that eligible employee's account under regulation 49 , together with interest calculated in accordance with regulation 50 on the sum of the premiums, including interest on those premiums.(2) The Board is to establish within the Fund an eligible employees' death and disability account.(3) The Board, in the eligible employees' death and disability account, is to (a) debit any money advanced by the Fund for the purpose of providing death and disability benefits under regulations 56 and 57 ; and(b) [Regulation 52 Subregulation (3) amended by S.R. 1996, No. 168, Applied:04 Dec 1996] credit any reimbursements made by way of deductions from the contributions made by the Minister or State authorities towards benefits paid to former eligible employees in respect of death and disability; and(c) credit the sum of the amounts debited to the accounts of eligible employees under subregulation (1) .(4) If at the end of the financial year the premiums credited to the death and disability account are more than sufficient to meet the costs of death and disability benefits provided under these regulations, the Board must determine whether to distribute the surplus in the death and disability account among the eligible employees' accounts or to carry it forward to the next year.(5) If at the end of the financial year those premiums are insufficient to meet those benefits, the Board must (a) offset the deficiency against that surplus, if a surplus balance has been carried forward from the previous year; or(b) adjust each eligible employees' account to the extent necessary to cover the deficiency, if there has not been a surplus balance carried forward from the previous year.
53. Notice of contributions and returns
A responsible officer is to (a) prepare a return for every pay period showing the total amount of salary and notional contributions payable in respect of the salaries of eligible employees in respect of whom he or she is the responsible officer; and(b) forward that return to the Board; and(c) [Regulation 53 Amended by S.R. 1996, No. 168, Applied:04 Dec 1996] in the case of eligible employees whose salaries are paid out of the Consolidated Fund, forward a duplicate of the return to the Minister in respect of each pay period.
Division 3 - Lump sum benefits
[Regulation 54AA Inserted by No. 18 of 1999, s. 62, Applied:14 May 1999] This Division is subject to Part 7A .
54. Benefit on retirement of eligible employee due to age
(1) If an eligible employee, having attained the preservation age retires, that eligible employee is to be paid a lump sum benefit comprising the sum of (a) [Regulation 54 Subregulation (1) amended by No. 18 of 1999, Applied:14 May 1999] the balance standing to the credit of the eligible employee's account, including interest after deductions have been made for death and disability premium fees and tax and surcharge liability; and(b) if the eligible employee is a person to whom regulation 48(1) applies, a benefit calculated (i) in the case of an eligible employee employed on a full-time basis throughout the period of employment ending on 30 June 1993, by multiplying the eligible employee's FAS(1) as at the date of retirement by the total period of years of continuous service before 30 June 1993 and dividing the product by 52; or(ii) in the case of an eligible employee employed on a part-time basis or employed partly on a full-time basis and partly on a part-time basis throughout that period of employment ending 30 June 1993 by multiplying the eligible employee's FAS(1) as at the date of retirement by the total number of equivalent full-time continuous years of service as at 30 June 1993 and dividing the product by 52.(2) [Regulation 54 Subregulation (2) substituted by No. 18 of 1999, s. 63, Applied:14 May 1999] A former eligible employee who becomes entitled to a lump sum benefit under subregulation (1) may (a) elect to transfer the benefit to his or her investment account; and(b) on attaining the age of 70 years or at any earlier age specified in writing to the Board, elect to receive the benefit as a lump sum, an allocated pension or a pension under regulation 77 .
55. Benefit on voluntary separation of eligible employee before age 55 years
(1) If an eligible employee resigns or becomes a contributor under Part 4 of these regulations, that employee, subject to regulation 59 , is entitled to a lump sum benefit comprising the sum of (a) [Regulation 55 Subregulation (1) amended by No. 18 of 1999, Applied:14 May 1999] the balance standing to the credit of the eligible employee's account, including interest after deductions have been made where appropriate for death and disability premium fees and tax and surcharge liability; and(b) if the eligible employee is a person to whom regulation 48(1) applies, a benefit calculated (i) in the case of an eligible employee employed on a full-time basis throughout the period of employment ending on 30 June 1993, by multiplying the eligible employee's FAS(1) as at the date of resignation by the total period of years of continuous service before 30 June 1993 and dividing the product by 52; or(ii) in the case of an eligible employee employed on a part-time basis or employed partly on a full-time basis and partly on a part-time basis throughout the period of employment ending on 30 June 1993, by multiplying the eligible employee's FAS(1) as at the date of resignation by the total number of equivalent full-time years of continuous service and dividing the product by 52.(2) [Regulation 55 Subregulation (2) omitted by No. 18 of 1999, s. 64, Applied:14 May 1999] . . . . . . . .(3) [Regulation 55 Subregulation (3) omitted by No. 18 of 1999, s. 64, Applied:14 May 1999] . . . . . . . .
55A. Salary of part-time eligible employee
[Regulation 55A Inserted by S.R. 1994, No. 178, Applied:01 Jul 1994] For the purposes of calculating the lump sum benefit payable under regulation 54 or 55 , the salary of the eligible employee who is employed on a part-time basis is taken to be the salary that he or she would have received if he or she had been employed on a full-time basis.
56. Benefit of eligible employees on death or retirement due to invalidity
(1) [Regulation 56 Subregulation (1) amended by No. 18 of 1999, s. 65, Applied:14 May 1999] [Regulation 56 Subregulation (1) amended by S.R. 1995, No. 35, Applied:28 Jun 1995] If an eligible employee who is covered for death and disability benefits dies or is retired on the grounds of invalidity, the eligible employee, or if the eligible employee has died, his or her personal representative, is entitled to a benefit comprising (a) the benefits as provided in regulation 54 with respect to actual service; and(b) [Regulation 56 Subregulation (1) amended by No. 18 of 1999, s. 65, Applied:14 May 1999] the benefits as provided in subregulation (2) with respect to prospective service.(2) [Regulation 56 Subregulation (2) amended by No. 18 of 1999, s. 65, Applied:14 May 1999] For the purpose of subregulation (1) , the prospective benefit entitlement is to be calculated according to the following formula:where [Regulation 56 Subregulation (2) amended by No. 18 of 1999, Applied:14 May 1999] B is the amount of prospective benefit entitlement payable to the eligible employee, his or her spouse, or his or her personal representative;FAS(1) is [Regulation 56 Subregulation (2) amended by S.R. 1994, No. 178, Applied:01 Jul 1994](a) the average annual salary received by a contributor in respect of the year preceding his or her resignation, death or retirement; or(b) in the case of a contributor whose length of service at the time of his or her resignation, death or retirement is less than one year, the average annual salary received in respect of his or her actual period of service;[Regulation 56 Subregulation (2) amended by S.R. 1994, No. 178, Applied:01 Jul 1994] PS is the prospective service in days between the date of the eligible employee's retirement on the grounds of invalidity or death and the day he or she would have attained age 60 years;PRC is the prescribed rate of contribution at the date of the eligible employee's retirement or death.(3) For the purpose of subregulation (2) , the average annual salary of the eligible employee means (a) if the employee is not on leave of absence on less than full pay, the amount of salary received by him or her during the final 12 months of his or her service; or(b) in any other case, any amount the Board, having regard to all the circumstances, determines.(4) [Regulation 56 Subregulation (4) substituted by S.R. 1994, No. 178, Applied:01 Jul 1994] A person aggrieved by the refusal of the Board to make any payment of a benefit under this regulation may make a complaint against the Board under the Justices Act 1959 .(5) [Regulation 56 Subregulation (5) inserted by S.R. 1994, No. 178, Applied:01 Jul 1994] On the hearing of the complaint, the magistrate, on being satisfied that the complainant is entitled to some or all of the benefit under this regulation, may order that the benefit, or some proportion of that benefit, be paid to the complainant.(6) [Regulation 56 Subregulation (6) inserted by S.R. 1994, No. 178, Applied:01 Jul 1994] In this regulation,eligible employee includes the estate of the eligible employee if he or she elects in writing to the Board, that in the event of his or her death the death benefit is to be paid to his or her estate.
57. Interim invalidity pension
(1) If, under regulation 96 , the Board determines that an eligible employee is entitled to an interim invalidity pension and that employee has been absent from duty on sick leave without salary for a continuous period of 30 calendar days, the eligible employee is entitled to be paid a pension equal to 75% of the salary received by that employee over the past 12 months of employment for a period not exceeding 12 months or any shorter period the Board determines.(2) An interim invalidity pension is subject to indexation as provided by regulation 81 .(3) The Board is to suspend the interim invalidity pension provided in subregulation (1) if the eligible employee (a) engages in any business or occupation on his or her own account; or(b) is, in the opinion of the Board, employed; or(c) [Regulation 57 Subregulation (3) amended by S.R. 1995, No. 104, Applied:11 Oct 1995] is in receipt of benefits paid in accordance with the Workers Rehabilitation and Compensation Act 1988 .(4) If the period for which an interim invalidity pension payable under this regulation has expired, that pension ceases and the eligible employee is taken to have resigned unless the Board grants a benefit under regulation 56 or the eligible employee returns to duty.
58. Benefit payable on retirement of eligible employee on attainment of age 70 years
(1) [Regulation 58 Subregulation (1) amended by No. 18 of 1999, s. 66, Applied:14 May 1999] If an eligible employee attains age 70 years, that employee is entitled to a benefit comprising the benefits as provided in regulation 54 notwithstanding that he or she has not ceased to be employed.(2) Benefits do not accrue in respect of the service of an eligible employee aged 70 years or over.
59. Compulsory preservation of certain employer contributions
[Regulation 59 Amended by No. 18 of 1999, s. 67, Applied:14 May 1999] If the lump sum benefit entitlement of a former eligible employee under regulation 55 is required to be preserved under the law of the Commonwealth, the Board is to (a) close the eligible employee's account; and(b) transfer the total lump sum benefit provided under regulation 55 to an account established in the name of the former eligible employee under regulation 63 .
59A. Application of prescribed arrangements to eligible employees
[Regulation 59A Inserted by No. 79 of 1997, Sched. 4, Applied:15 Jan 1998](1) This regulation applies to eligible employees to whom a declaration of a prescribed arrangement is expressed to apply.(2) Within 60 days after the commencement day specified in the declaration, the Board must, in writing, notify the eligible employees to whom this regulation applies of (a) their accrued benefit under this Part; and(b) the level of employer superannuation support provided under this Part.(3) [Regulation 59A Subregulation (3) amended by No. 18 of 1999, Sched. 4, Applied:14 May 1999] After receipt of the notification and within 6 months after the commencement day or a longer period determined by the Board, an employee who was an eligible employee immediately before that day may, in writing, notify the Board and the person, organisation or prescribed authority to which the relevant services have been transferred that he or she elects not to continue as an eligible employee.(4) A notice of election under subregulation (3) is to include (a) a copy of the notification referred to in subregulation (2) ; and(b) a statement to the effect that the eligible employee making the election has taken into account the matters referred to in that notification.(5) On making an election under subregulation (3) , the employee (a) is taken to have ceased to be an eligible employee as a result of the relevant prescribed arrangement; and(b) is entitled to a benefit in accordance with this Division.(6) An eligible employee who does not make an election as mentioned in subregulation (3) is taken to remain as an eligible employee.
PART 6 - General provisions applicable to contributors, eligible employees and their spouses[Part 6 Heading amended by No. 18 of 1999, s. 68, Applied:14 May 1999]
[Regulation 60AA Inserted by No. 18 of 1999, s. 69, Applied:14 May 1999] This Part is subject to Part 7A .
[Regulation 60AB Inserted by No. 18 of 1999, s. 70, Applied:02 Oct 1999](1) The Board may from time to time provide investment choices for persons who have accounts established under regulation 60 or 65 and may as are necessary for the efficient and effective administration of those investment choices.(a) establish such accounts; and(b) determine an administrative policy and such terms and conditions (2) Subject to subregulation (1) , a person may direct the Board as to the investment choice that he or she wishes to exercise in respect of (a) the whole or a part of the balance standing to the credit of an account referred to in subregulation (1) ; and(b) any future amounts credited to that account.(3) The direction is to be in a form approved by the Board and the Board must give effect to that direction within 14 working days after receiving it.(4) The Board must charge a management fee to cover any taxation liability, brokerage fee, investment fee and the administrative costs of giving effect to the direction.(5) In the absence of a direction by a person under this regulation, the Board may invest any money standing to the credit of an account referred to in subregulation (1) as the Board may determine.
60. Establishment of investment account for contributors and eligible employees and their spouses
[Regulation 60 Subregulation (2) amended by S.R. 1994, No. 178, Applied:01 Jul 1994] [Regulation 60 Subregulation (3) amended by S.R. 1995, No. 35, Applied:28 Jun 1995] [Regulation 60 Subregulation (3) amended by S.R. 1994, No. 178, Applied:01 Jul 1994] [Regulation 60 Substituted by No. 18 of 1999, s. 71, Applied:14 May 1999](1) In accordance with these regulations, the Board may establish accounts for the purpose of receiving voluntary contributions, spouse contributions or benefit entitlements paid by, or on behalf of, eligible employees or contributors or the spouses of eligible employees or contributors.(2) The Board must credit to investment accounts (a) all contributions paid by or on behalf of an eligible employee or contributor or spouse of an eligible employee or contributor under regulation 61 ; and(b) all contributions paid by an Agency on behalf of an eligible employee or contributor under regulation 61A ; and(c) any benefit transferred to the accounts by a decision of the Board under regulation 73 ; and(d) any benefit paid into the Fund under regulation 62 ; and(e) the balance of a former contributor's or former eligible employee's account transferred under regulation 63(5) ; and(f) interest calculated under regulation 94 or 94A ; and(g) any other amount considered appropriate by the Board.(3) The Board must debit to investment accounts (a) the cost of death and disability premiums payable under regulation 64 ; and(b) tax or surcharge liability or any other amounts required by the law of the Commonwealth; and(c) the cost of administration and investment management as provided by regulation 66 ; and(d) any other amount considered appropriate by the Board.(4) An eligible employee or contributor or the spouse of an eligible employee or contributor may, unless prohibited from doing so by the law of the Commonwealth, elect in writing (a) to receive a refund of the whole, or a part, of the balance of his or her investment account; or(b) to have the whole, or a part, of the balance of his or her investment account transferred to a regulated superannuation fund or eligible rollover fund.(5) If an eligible employee, contributor or the spouse of an eligible employee or contributor ceases to be an eligible employee, contributor or such a spouse, the Board, having regard to any election of that person and the law of the Commonwealth, must (a) pay to that person an amount that is the balance or a part of the balance standing to the credit of his or her investment account; or(b) if that person has attained the preservation age, transfer the whole, or a part, of the balance of his or her investment account to an allocated pension account and provide for the payment of an allocated pension to the person; or(c) if that person has attained the preservation age, convert the whole, or a part, of the balance of his or her investment account to a pension under regulation 77 and provide for the payment of a pension to the person; or(d) retain the balance standing to the credit of that account until a later date that is not later than the date on which that person attains the age of 70 years; or(e) transfer the whole, or a part, of the balance of that account to a regulated superannuation fund or eligible rollover fund nominated by that person.(6) If an eligible employee, contributor or the spouse of an eligible employee or contributor dies, the Board, having regard to the wishes of his or her personal representative and the law of the Commonwealth, must (a) pay to his or her personal representative an amount that is the balance or a part of the balance standing to the credit of the deceased person's investment account; or(b) transfer the whole, or a part, of the balance of the investment account to an allocated pension account and provide for the payment of an allocated pension to the widow or widower of that person; or(c) convert the whole, or a part, of the balance of the investment account to a pension under regulation 77 and provide for the payment of a pension to the widow or widower of that person.(7) Where no election is made by a person under subregulation (4) , the Board must retain the balance standing to the credit of his or her investment account until a later date that is not later than the date on which he or she attains the age of 70 years.(8) A person aggrieved by a refusal of the Board to make any payment of a benefit under this regulation may make a complaint against the Board under the Justices Act 1959 .(9) On the hearing of the complaint, the magistrate, on being satisfied that the complainant is entitled to some or all of the benefit under this regulation, may order that the benefit, or a proportion of that benefit, is to be paid to the complainant.(10) A contributor or eligible employee may elect in writing to transfer an amount standing to the credit of his or her investment account to the contributory scheme or non-contributory scheme as settlement in whole or part of any debt owed by the contributor or eligible employee to the Board.(11) If a contributor or eligible employee makes an election under subregulation (10) , the balance standing to the credit of his or her investment account is to be reduced by the amount transferred under that subregulation.(12) In this regulation, a reference to a contributor or eligible employee includes a reference to the estate of the contributor or eligible employee if he or she elects in writing to the Board that, in the event of his or her death, the death benefit is to be paid to his or her estate.
61. Payment of voluntary contributions into investment account
[Regulation 61 Subregulation (2) amended by S.R. 1994, No. 178, Applied:01 Jul 1994] [Regulation 61 Substituted by No. 18 of 1999, s. 71, Applied:14 May 1999](1) An eligible employee or a contributor may elect at any time by notice in writing to the Board to pay voluntary contributions or spouse contributions to the Fund.(2) An eligible employee or a contributor who elects to make voluntary contributions or spouse contributions must specify in the election the amount of the voluntary contributions or spouse contributions to be made, which is to be (a) a single contribution payable by the eligible employee or contributor; or(b) an amount calculated by reference to a factor that is a multiple of 0.5% of salary; or(c) an amount expressed as a multiple of $5; or(d) a combination of paragraphs (a) and (b) or a combination of paragraphs (a) and (c) .(3) The spouse of an eligible employee or contributor may elect, in a manner specified by the Board, to make a contribution to his or her investment account at any time.(4) An eligible employee or a contributor who has made an election to pay voluntary contributions or spouse contributions may, by notice in writing to the Board, elect to revoke or vary that election.(5) If the spouse of an eligible employee or contributor has made an election to pay voluntary contributions, the spouse may elect, by notice in writing to the Board, to revoke or vary that election.(6) The voluntary contributions or spouse contributions of an eligible employee or contributor may be deducted from his or her salary at any time and in any manner the Board determines but in any event is to be paid to the Board not later than 28 days after the deduction.(7) A responsible officer must prepare and forward to the Board a return for every pay period showing the total amount of voluntary contributions and spouse contributions deducted from the salaries of each contributor or eligible employee in respect of whom he or she is the responsible officer.
61A. Payment of additional employer contributions to investment account
[Regulation 61A Inserted by No. 18 of 1999, s. 71, Applied:14 May 1999](1) Where an eligible employee or contributor has made an election under his or her contract of employment with an Agency for payment of additional employer contributions the Agency must pay those employer contributions on behalf of the eligible employee or contributor to the Board.(a) by way of salary sacrifice; or(b) from the whole or a part of his or her non-salary benefits; or(c) as a combination of paragraphs (a) and (b) (2) On making the election, the eligible employee or contributor must notify the Board in writing of that election and specify the frequency of such payments and the amount of additional employer contributions to be made by the Agency.(3) An eligible employee or contributor who has made such an election may, in accordance with his or her contract of employment, make a further election to vary or revoke the original election by notice in writing to the Board and the Agency.(4) All additional employer contributions paid by an Agency on behalf of an eligible employee or contributor in accordance with the law of the Commonwealth.(a) are to be preserved; and(b) are subject to taxation (5) A responsible officer must prepare and forward to the Board a return for every pay period showing the total amount of additional employer contributions paid on behalf of the eligible employee or contributor in respect of whom he or she is the responsible officer.
[Regulation 62 Substituted by No. 18 of 1999, s. 71, Applied:14 May 1999](1) An eligible employee or contributor or the spouse of an eligible employee or contributor may pay or cause to be paid into the Fund all or part of the benefit that he or she is entitled to receive as a contributor to another superannuation scheme or fund or as an eligible termination payment under an employment redundancy programme.(2) An amount paid into the Fund under this regulation is to be credited to an investment account or an allocated pension account and vested in the name of the eligible employee or contributor or the spouse of the eligible employee or contributor.
63. Establishment of compulsory preservation account
(1) [Regulation 63 Subregulation (1) amended by No. 18 of 1999, s. 72, Applied:14 May 1999] Any benefit entitlements compulsorily preserved by the Board under these regulations are to be preserved in an account established by the Board under this regulation.(2) [Regulation 63 Subregulation (2) amended by No. 18 of 1999, s. 72, Applied:14 May 1999] The benefit entitlements preserved under this regulation include all benefit entitlements or proportion of benefit entitlements which must be preserved under regulation 43 or 59 .(3) [Regulation 63 Subregulation (3) amended by No. 18 of 1999, s. 72, Applied:14 May 1999] Benefit entitlements compulsorily preserved in an account established under this regulation are to be indexed at a rate declared by the Board as being equal to movements in the "Average Weekly Ordinary Time Earnings (AWOTE) in Australia", published by the Australian Bureau of Statistics, or to movements in the "Consumer Price Index All Groups, All Capital Cities" as declared under regulation 81 , whichever is the greater.(4) For the purpose of subregulation (3) , the indexation rate declared by the Board is to be reviewed at 1 January and 1 July in each year in line with the most recently published AWOTE or Consumer Price Index figure immediately before that review.(5) [Regulation 63 Subregulation (5) amended by No. 18 of 1999, s. 72, Applied:14 May 1999] A benefit entitlement which has been compulsorily preserved is taken to become payable when the former contributor or the former eligible employee attains the preservation age and is to be credited to the investment account established under regulation 60 , after deductions have been made where appropriate for death and disability cover and tax liability, and vested in the name of the former contributor or the former eligible employee.
64. Additional death and disability cover
(1) The Board may provide insurance against death, invalidity or partial or temporary incapacity to eligible employees or contributors on any terms and conditions determined in accordance with the conditions of an assurance policy entered into by the Board for those purposes.(2) For the purposes of subregulation (1) , eligible employees and contributors include eligible employees and contributors (a) who have made written application to the Board; and(b) who, in the opinion of the Board, are eligible to participate in the assurance policy; and(c) of whom the insurer under the assurance policy approves.(3) The premiums payable by the Board on behalf of each eligible employee or contributor in respect of the insurance is to be deducted from the investment account established under regulation 60 .(4) If an investment account has insufficient funds to meet the payment of the premiums in subregulation (3) , the Board may cancel the insurance of the eligible employee or contributor.(5) The proceeds of any insurance in respect of an eligible employee or a contributor arising under this regulation is to be taken to be voluntary contributions paid by that eligible employee or contributor under regulation 61 .
65. Allocated pension accounts
[Regulation 65 Substituted by No. 18 of 1999, s. 73, Applied:02 Oct 1999](1) A person who may elect to transfer the whole or a part of his or her benefits to an allocated pension account.(a) has a benefit entitlement under the contributory scheme, the non-contributory scheme or this Part and who has ceased employment after attaining the preservation age; or(b) is the widow or widower of a person having such an entitlement (2) If a person makes an election under subregulation (1) , the Board is to credit to the allocated pension account (a) any investment earnings determined by the Board under regulation 94A ; and(b) if the person so requests (i) any benefit transferred under subregulation (1) ; and(ii) any benefit paid into the Fund under regulation 62 ; and(iii) any other amount allowable under the law of the Commonwealth for the purpose of providing an allocated pension.(3) The Board is to debit to the allocated pension account (a) any allocated pension payment made under this regulation; and(b) any capital withdrawal made from the allocated pension account which may be allowed under the law of the Commonwealth; and(c) any tax or surcharge liability or other amounts required by law; and(d) any administration fee and investment management fee sufficient to cover the cost of administering the allocated pension account as determined by the Board.(4) On the establishment of an allocated pension account for any person and at any other time as the Board may determine, that person must notify the Board in writing of (a) the amount of allocated pension to be paid to him or her during a financial year which is to be subject to the allocated pension valuation factors permitted by the law of the Commonwealth; and(b) the frequency of allocated pension instalments, whether fortnightly, monthly, quarterly or annually, to be paid during that financial year.(5) Failing an election under subregulation (4) , the Board is to determine the amount and frequency of the allocated pension instalments to be paid to the person having regard to the allocated pension valuation factors permitted by the law of the Commonwealth.(6) Subject to subregulation (4) , the Board must pay to the person in respect of whom the account is established an allocated pension instalment calculated in accordance with the following formula:where AP is the allocated pension instalment to be paid to a person in respect of a financial year;APB is the balance standing to the credit of the allocated pension account (a) on 1 July in the financial year in which the allocated pension payments are to be made; or(b) if the account was established on a later date, on that date; or(c) if there are deposits or withdrawals made in accordance with subregulation (2)(b) or (3)(b) , on a date determined by the Board having regard to the law of the Commonwealth;PVF is the pension valuation factor applicable to the person entitled to the allocated pension, if the factor is, having regard to that person's age, within the range of allocated pension valuation factors permitted by the law of the Commonwealth;T is 365 or, if the allocated pension account was established after 1 July in the current financial year, the number of days remaining in that financial year;N is the number of instalments of pension remaining in the current financial year payable to the person entitled to the allocated pension in accordance with his or her election under subregulation (4) or the Board's determination under subregulation (5) .(7) An allocated pension ceases to be payable on (a) the date of death of the person entitled to that pension; or(b) the date on which the amount held in the allocated pension account is extinguished.(8) The Board must suspend an allocated pension for the remainder of a financial year if the total amount of instalments of the pension paid during that financial year equals the maximum allocated pension for that financial year allowed by the law of the Commonwealth.(9) If a person entitled to an allocated pension dies, the Board must (a) pay to that person's widow or widower, as he or she may elect (i) an amount equal to the balance of the allocated pension account at the date of death; or(ii) an allocated pension recalculated as a separate entitlement under this regulation having regard to the age of the widow or widower and an election under subregulation (4) ; or(b) where there is no widow or widower or the person entitled has requested in writing that the balance of the allocated pension account is to be payable to his or her estate, pay to the estate an amount equal to the balance of the allocated pension account at the date of death.(10) A person aggrieved by a refusal of the Board to make a payment of a benefit entitlement under this regulation may make a complaint against the Board under the Justices Act 1959 .(11) On hearing the complaint, the magistrate, if satisfied that the complainant is entitled to the whole or a part of the benefit entitlement under this regulation, may order that the whole or a part of that benefit entitlement is to be paid to the complainant.
66. Deductions allowed against investment account
[Regulation 66 Substituted by No. 18 of 1999, s. 74, Applied:14 May 1999](1) The Board must impose an administration fee and an investment management fee sufficient to cover the cost of managing (a) all money invested in an investment account; and(b) all voluntary contributions and all spouse contributions made under regulation 61 ; and(c) all money paid into the Fund under regulation 62 ; and(d) all additional employer contributions paid under regulation 61A ; and(e) any other property in which any such money or contributions may be invested from time to time.(2) The administration fee and the investment management fee are to be recovered from the investment account as the Board may determine.
67. Question of invalidity to be determined by Board
If any question arises as to whether an eligible employee or a contributor is unable, by reason of invalidity, to perform his or her duties, the Board is to determine the matter under regulation 96 or, in respect of an eligible employee or a contributor to whom regulation 64 applies, in accordance with the terms of the policy referred to in that regulation.
68. Time and manner of benefit payments
(1) The Board is to use its best endeavours to ensure that a benefit under these regulations is paid as soon as is practically possible but not later than 6 weeks after the day that the benefit becomes eligible to be paid or the day on which the Board receives the completed application for the benefit, whichever is the latter.(2) If a benefit is not paid within the period specified in subregulation (1) , additional interest is payable on that benefit as determined by the Board.
69. Release of preserved benefits
[Regulation 69 Subregulation (1) amended by S.R. 1995, No. 35, Applied:28 Jun 1995] [Regulation 69 Subregulation (1) amended by S.R. 1995, No. 104, Applied:11 Oct 1995] [Regulation 69 Subregulation (1) amended by S.R. 1994, No. 178, Applied:01 Jul 1994] [Regulation 69 Substituted by No. 18 of 1999, s. 75, Applied:01 Jul 1999](1) This regulation takes effect on 1 July 1999.(2) If a lump sum benefit entitlement is preserved under Part 4 or 5 , the benefit entitlement is not payable until the Board is satisfied that the person to whom the benefit entitlement relates has satisfied any relevant requirements of the law of the Commonwealth.(3) Notwithstanding subregulation (2) , if a lump sum benefit entitlement preserved under these regulations relates to a former eligible employee who was made redundant before attaining the preservation age, the Board may pay an amount which is not greater than a benefit calculated as at 30 June 1999 as follows:(a) in the case of an eligible employee employed on a full-time basis throughout the period of employment ending on 30 June 1993, in accordance with the following formula:where A is the amount of preserved lump sum benefit;N is the total period of years of continuous service before 30 June 1993;(b) in the case of an eligible employee employed on a part-time basis or employed partly on a full-time basis and partly on a part-time basis throughout the period of employment ending on 30 June 1993, in accordance with the following formula:where A is the amount of preserved lump sum benefit;N is the total number of equivalent full-time continuous years of service before 30 June 1993.(4) For the purpose of calculating the lump sum benefit payable under subregulation (3) , the salary of an eligible employee employed on a part-time basis is taken to be salary that he or she would have received if he or she had been employed on a full-time basis.(5) The Board must notify a person referred to in subregulation (2) or (3) or his or her spouse or personal representative of the entitlement to a preserved benefit payable under those subregulations by sending a written notice to that persons last known address.(6) For the purposes of this regulation, an eligible employee is taken to be redundant if he or she is retired because or if he or she is retired under a voluntary redundancy programme.(a) his or her service, office or position is unnecessary; or(b) the work for which he or she was engaged is finished; or(c) diminution of work necessitates a reduction in the number of employees
70. Payment where beneficiary incapable
(1) If a contributor or eligible employee to whom a benefit under these regulations is payable is, in the opinion of the Board, incapable of administering his or her own affairs, the Board may pay the benefit to some other person on the basis that it is to be applied wholly for the care, maintenance, benefit and support of the person to whom, but for this regulation, the benefit would be payable, and for or of any dependant of that person.(2) Any payment made under this regulation is taken to have been made to the person entitled to the benefit.
71. Payment where beneficiary bankrupt
If a person to whom a benefit under these regulations is payable is an undischarged bankrupt or a person whose property is subject to an order or arrangement under the laws relating to bankruptcy, the Board may pay an amount or amounts, not exceeding in total the amount of the benefit, to the person entitled under those laws to the administration of the bankrupt estate.
72. Restriction on liens over benefits
(1) A person must not exercise a lien over any entitlement under these regulations.(2) [Regulation 72 Subregulation (2) amended by S.R. 1994, No. 178, Applied:01 Jul 1994] Except as provided by regulation 98 , an entitlement under these regulations (a) is not available as security for a loan; and(b) [Regulation 72 Subregulation (2) amended by S.R. 1994, No. 178, Applied:01 Jul 1994] on the death of the person entitled to that money, in the absence of a spouse, is not available as an asset in his or her estate for the payment of his or her debts or liabilities.
[Regulation 73 Substituted by No. 18 of 1999, s. 76, Applied:14 May 1999] The Board must pay any unclaimed benefits to an account in the Special Deposits and Trust Fund in accordance with the Unclaimed Moneys Act 1918 .
74. Recovery of overdue contributions and payments
(1) [Regulation 74 Subregulation (1) amended by S.R. 1996, No. 168, Applied:04 Dec 1996] [Regulation 74 Subregulation (1) amended by S.R. 1994, No. 178, Applied:01 Jul 1994] If any contributions or other payments that are required under these regulations to be made by an eligible employee or a contributor are, for any reason, in arrears, the amount in arrears may be deducted from his or her salary in any instalments the Board determines, and the Minister, or the Agency by which the eligible employee or the contributor is employed, must cause the amount to be deducted accordingly and paid to the Board.(2) The Board may recover in a court of competent jurisdiction amounts payable to it by any person, or may deduct them from any money payable under these regulations to, or in relation to, that person.
75. Recovery of benefit overpayments
If a person has received a payment under these regulations and it is subsequently discovered that, owing either to a miscalculation of matters or to a mistake of fact for which the person is not responsible, the payment was in excess of the amount properly payable, the Board may of the whole or any part of that excess payment or may write off the whole or any part of it, if, in the opinion of the Board, its repayment would cause undue financial hardship or the enforcement of the repayment would be inequitable.(a) waive repayment; or(b) allow repayment to be made on any terms the Board thinks just
PART 7 - Pensions
[Regulation 76AA Inserted by No. 18 of 1999, s. 77, Applied:14 May 1999] This Part is subject to Part 7A .
76. Continuation of pensions payable under repealed Act
(1) A pension that is payable under the repealed Act immediately before 1 July 1994, on and after that day, continues to be payable as a pension under these regulations except as may be provided in the Retirement Benefits (Transitional) Regulations 1994 .(2) The Board is to cause to be paid every fortnight an instalment of a pension to which subregulation (1) refers.
77. Conversion of lump sum benefit to pension
(1) [Regulation 77 Subregulation (1) substituted by No. 18 of 1999, s. 78, Applied:14 May 1999] A person who is entitled to receive a lump sum benefit under Part 4 , 5 or 6 may elect to convert the whole or a part of the lump sum into (a) an allocated pension; or(b) a pension as provided by this regulation; or(c) a combination of paragraphs (a) and (b) .(1A) [Regulation 77 Subregulation (1A) inserted by No. 18 of 1999, s. 78, Applied:14 May 1999] Where a contributor or eligible employee retires on the grounds of invalidity and the benefit entitlement under regulation 38 , 39 or 56 is greater than $40 000, the Board must convert his or her benefit entitlement to a pension as provided in this regulation.(1B) [Regulation 77 Subregulation (1B) inserted by No. 18 of 1999, s. 78, Applied:14 May 1999] A person to whom subregulation (1A) applies may elect in writing to the Board to commute any part of his or her pension under subregulation (1A) to a lump sum benefit not exceeding $40 000.(1C) [Regulation 77 Subregulation (1C) inserted by No. 18 of 1999, s. 78, Applied:14 May 1999] On an election under subregulation (1B) , a person to whom subregulation (1A) applies may, with the approval of the Board, further elect to commute an additional part of his or her pension to a lump sum benefit not exceeding $20 000.(1D) [Regulation 77 Subregulation (1D) inserted by No. 18 of 1999, s. 78, Applied:14 May 1999] The Minister may, by notice published in the Gazette, substitute another amount for an amount specified in subregulation (1A) , (1B) or (1C) in respect of all contributors and eligible employees with effect from a date specified in the notice.(1E) [Regulation 77 Subregulation (1E) inserted by No. 18 of 1999, s. 78, Applied:14 May 1999] Subregulations (1A) , (1B) and (1C) do not apply to before the date on which the Superannuation (Commonwealth Surcharge and Miscellaneous Amendments) Act 1999 receives the Royal Assent.(a) a person who makes an application for an invalidity benefit under regulation 38 , 39 or 56 ; or(b) a person who is in receipt of an interim invalidity pension under regulation 40 or 57 (2) A person who is entitled to receive more than one lump sum benefit under these regulations is to make an election with respect to each benefit separately.(3) [Regulation 77 Subregulation (3) substituted by No. 18 of 1999, s. 78, Applied:14 May 1999] If a person to whom subregulation (1) applies elects to take an allocated pension, his or her entitlement to receive a pension and a lump sum under this Part is reduced by the amount of any lump sum transferred to his or her allocated pension account.(4) An election under this regulation is to be made in writing to the Board within a period of (a) with respect to a contributor or an eligible employee, 3 months preceding the event upon which the lump sum benefit becomes payable or any extended period the Board allows; or(b) [Regulation 77 Subregulation (4) amended by No. 18 of 1999, s. 78, Applied:14 May 1999] with respect to the widow or widower of a contributor or an eligible employee, 3 months immediately following the death of the contributor or the eligible employee.(5) If an election is made under this regulation by a person for the conversion of the whole or a part of his or her lump sum entitlement into a pension (a) the person is to be paid out of the Fund a pension equal to the amount of the lump sum entitlement foregone divided by the conversion factor that is applicable under regulation 78 to the person on the date on which his or her election becomes effective or, in the case of the spouse of a contributor or an eligible employee, the day immediately following the day on which that election is received by the Board; and(b) the lump sum entitlement is to be cancelled by the Board or reduced by the percentage specified in the election.(6) [Regulation 77 Subregulation (6) amended by No. 19 of 1998, s. 12, Applied:19 Jun 1998] Notwithstanding subregulation (5) , an employee who, immediately before 1 July 1994 was a contributor under the repealed Act may, on retirement or on attaining the age of 55 years and ceasing to be a contributor as a result of a prescribed arrangement, elect in writing to the Board to receive a pension calculated as appropriate under Schedule 3 .(7) An election by a contributor under subregulation (6) with respect to a lump sum benefit determined under regulation 38 must be an election to convert the whole of that lump sum into a pension.
78. Pension conversion factors
[Regulation 78 Subregulation (3) amended by No. 19 of 1998, Applied:19 Jun 1998] [Regulation 78 Subregulation (3) amended by S.R. 1995, No. 35, Applied:28 Jun 1995] [Regulation 78 Subregulation (3) amended by S.R. 1994, No. 178, Applied:01 Jul 1994] [Regulation 78 Subregulation (4B) inserted by No. 19 of 1998, Applied:19 Jun 1998] [Regulation 78 Subregulation (4) amended by S.R. 1995, No. 104, Applied:11 Oct 1995] [Regulation 78 Subregulation (4A) inserted by S.R. 1995, No. 35, Applied:28 Jun 1995] [Regulation 78 Substituted by No. 18 of 1999, s. 79, Applied:14 May 1999](1) For the purposes of regulation 77 , the Board must (a) determine pension conversion factors from time to time, on the advice of the Actuary; and(b) publish those factors by notice in the Gazette; and(c) cause the factors to be reviewed by the Actuary at least once a year and at such other times as the Board determines.(2) Different factors may be determined depending on the age and gender of the person entitled to a benefit and whether there is a reversion to a surviving spouse.(3) Where the conversion factor with respect to an election made by that person or the spouse of that person, in respect of the benefit under the contributory scheme, is 12 or the factor last determined by the Board, whichever factor provides the higher pension.(a) an existing contributor, a retired contributor within the meaning of the Retirement Benefits (Transitional) Regulations 1994 or an amalgamated contributor is entitled to a benefit under regulation 36 , 37 , 37A , 38 or 42 ; or(b) an existing contributor to whom regulation 17 of the Retirement Benefits (Transitional) Regulations 1994 applies ceases employment after attaining the preservation age; or(c) an existing contributor made redundant as mentioned in regulation 37 or 37A who preserved his or her benefit in the Fund under regulation 43(4)(a) and (b) or 43(5)(b) ceases employment after attaining the preservation age (4) Subregulation (3) does not apply to (a) an amalgamated contributor or a provident fund contributor who, under the Retirement Benefits (Transitional) Regulations 1994 , elects to contribute to the Fund otherwise than as an amalgamated contributor or a provident fund contributor; or(b) a former contributor who receives a benefit under regulation 43(8) ; or(c) a former contributor whose benefit is preserved as mentioned in regulation 43(4)(a) and (b) or 43(5)(b) and who makes an application for an amount payable under regulation 60(3) .(5) If an existing contributor or former contributor or the widow or widower of a former contributor elects to commute a lump sum on 2 or more occasions under regulation 77 , the conversion factor (a) in respect of the first election, is to be 12; and(b) in respect of each subsequent election, is to be the appropriate pension conversion factor determined under regulation 78(1)(a) .
79. Pensions payable to widows and widowers
(1) [Regulation 79 Subregulation (1) substituted by S.R. 1994, No. 178, Applied:01 Jul 1994] The widow or widower of a former contributor or former eligible employee is entitled to a pension calculated at the rate specified in subregulation (2) if the former contributor or former eligible employee, at the date of his or her death, was in receipt of a pension (a) under regulation 76 ; or(b) [Regulation 79 Subregulation (1) amended by No. 18 of 1999, s. 80, Applied:14 May 1999] on the basis of conversion factors determined under regulation 78 in respect of a reversionary pension; or(c) calculated under Schedule 3 .(2) A widow's or a widower's pension is payable at the rate of two-thirds of the pension her or his spouse was receiving, or for which she or he was eligible, immediately before her or his death.(3) This regulation does not apply to, or in relation to, a widow or widower who, at the time of her or his spouse's death except on the order of a magistrate as provided in subregulation (4) , but the Board does not incur any liability through the payment to the widow or widower of a pension under this regulation where those facts were not brought to the Board's knowledge.(a) was living apart; and(b) was not receiving support (3A) [Regulation 79 Subregulation (3A) inserted by S.R. 1994, No. 178, Applied:01 Jul 1994] [Regulation 79 Subregulation (3A) substituted by No. 18 of 1999, s. 80, Applied:14 May 1999] A widow or widower is not entitled to a pension under regulation 76 or this regulation if the pension payable to the deceased former contributor or deceased former eligible employee (a) was itself a widow's or widower's pension; or(b) was calculated on the basis that there would be no reversion of that pension to a surviving spouse.(3B) [Regulation 79 Subregulation (3B) inserted by S.R. 1996, No. 168, Applied:04 Dec 1996] [Regulation 79 Subregulation (3B) omitted by No. 18 of 1999, s. 80, Applied:14 May 1999] . . . . . . . .(4) A widow or widower to whom subregulation (3) relates may take proceedings against the Board by complaint under the Justices Act 1959 to recover an instalment of pension under these regulations, and, on the hearing of the complaint a magistrate, on being satisfied that the complainant is entitled to a pension under these regulations, may make an order directing the pension to be paid to the complainant as provided by these regulations.(5) A pension is payable under this regulation to the widow or widower of a pensioner, notwithstanding that she or he married that pensioner after his or her retirement.
[Regulation 79A Inserted by No. 18 of 1999, s. 81, Applied:14 May 1999] Where that woman, if otherwise entitled under that section, is taken to have been entitled to the pension on and from 1 July 1990 as if that pension had not been suspended.(a) a woman was entitled, as the widow of a contributor or a pensioner, to a pension under the Superannuation Act 1938 , the Retirement Benefits Act 1970 or the Retirement Benefits Act 1982 ; and(b) that entitlement ceased under section 36(9) of the Retirement Benefits Act 1982 , as in force immediately before 1 July 1991
80. Recognition of de facto relationships
(1) If, immediately preceding the death of a contributor or pensioner, a person of the opposite sex had been living as man and wife with that contributor or pensioner, that person has the same rights as if he or she had been married to that contributor or pensioner at the time of death.(2) If a contributor or a pensioner dies leaving a surviving spouse, a pension is not payable under this regulation if a pension or benefit is payable to that spouse under regulation 79 or, if a complaint is made under regulation 79(4) until the proceedings of that complaint have been determined.(3) A person who is aggrieved by a refusal of the Board to make any payment of pension or benefit under this regulation may take proceedings against the Board by complaint under the Justices Act 1959 , and, on the hearing of the complaint a magistrate, on being satisfied that the complainant is entitled to a pension or benefit under these regulations and that no other person is entitled to, or in receipt of, a pension or benefit under regulation 79 consequent on the death of the contributor or a pensioner, may make an order directing the pension to be paid to the complainant as provided by these regulations.
81. Half-yearly adjustments to pensions
(1) [Regulation 81 Subregulation (1) amended by No. 18 of 1999, s. 82, Applied:14 May 1999] A pension under these regulations other than an allocated pension is to be increased by the Board in each half-year in accordance with this regulation.(2) The Government Statistician, as soon as practicable after the end of the first quarter in each half-year, is to give the Board a notice specifying the percentage by which the Index for that quarter is greater or less than the Index for the first quarter of the past preceding half-year.(3) On receipt of a notice under subregulation (2) , the Board must declare the percentage by which pensions are to be increased in respect of the half-year following the first-mentioned in that subregulation.(4) [Regulation 81 Subregulation (4) amended by S.R. 1994, No. 178, Applied:01 Jul 1994] A percentage declared under subregulation (3) in respect of a half-year is to be the same as the percentage specified in the notice given to the Board under subregulation (2) .(5) An increase in a pension in respect of any half-year made under this regulation is to be made (a) by increasing the rate at which, immediately before the making of the adjustment, the pension was payable by the percentage declared in respect of that half-year under subregulation (3) ; and(b) so as to operate from and including the first pay-day in that half-year.(6) The following provisions apply to the first increase of a pension that first becomes payable under this regulation (a) in the case of a pension that comes into force during the second quarter of any half-year, the first increase to that pension is to be made so as to operate from the first pay-day after the end of the half-year next following that half-year; and(b) in the case of a pension that comes into force during the first quarter of any half-year, the first increase to that pension is to be made so as to operate from the first pay-day after the end of that half-year; and(c) the amount by which a pension is to be increased is to be calculated in accordance with the formula set out in subregulation (7) .(7) For the purposes of subregulation (6)(c) , the formula is as follows:where [Regulation 81 Subregulation (7) amended by S.R. 1994, No. 178, Applied:01 Jul 1994] P is the amount by which the pension is to be increased;A is the annual amount by which the pension would have been increased in accordance with subregulation (5) ;B is the number of days falling within the period beginning with the day on which the pension came into force and ending (a) if that day falls within the second quarter of any half-year, at the end of the first quarter of the half-year next following; or(b) if that day falls within the first quarter of any half-year, at the end of that quarter.(8) In their application to a spouse's pension or a child's pension that becomes payable as a consequence of the death of a pensioner, subregulations (6) and (7) have effect as if that pension came into force when the pension payable to that pensioner came into force.
(1) [Regulation 82 Subregulation (1) substituted by No. 18 of 1999, s. 83, Applied:14 May 1999] A pension entitlement is payable during the life of the pensioner and is payable as from the date of death or retirement except as otherwise expressly provided by these regulations.(1A) [Regulation 82 Subregulation (1A) inserted by No. 18 of 1999, s. 83, Applied:14 May 1999] Subregulation (1) does not apply to an allocated pension or a child's pension.(2) A child's pension commences on the date of the event by virtue of which it becomes payable under the repealed Act and ceases to be payable on whichever happens first.(a) the child, not being a child to whom subregulation (3) relates, attaining age 18 years; or(b) the death of the child; or(c) the cessation of the circumstances in respect of which it is payable (3) In the case of a child who is receiving full-time education at a school, college or university, the child's pension ceases to be payable whichever happens first.(a) when the child attains age 25 years; or(b) when the child ceases to receive full-time education at a school, college or university
83. Time and manner of payment of pensions
(1) [Regulation 83 Subregulation (1) substituted by No. 18 of 1999, s. 84, Applied:14 May 1999] Except as provided in regulation 65 , all pensions payable under these regulations are to be paid in fortnightly instalments.(2) In order to ascertain the amount of a fortnightly pension, the annual amount of the pension is to be divided by 26.(3) A pension or other benefit payable under these regulations (a) in the case of a child's pension, is to be paid to a parent or guardian of the child in any manner the Board determines, having regard to any wishes of that parent or guardian with respect to the payment; or(b) in the case of any other pension or benefit, is to be paid to the person entitled to it in any manner the Board determines, having regard to any wishes of that person with respect to the payment.
84. Recovery of pension overpayment
[Regulation 84 Amended by No. 18 of 1999, s. 85, Applied:14 May 1999] If a person has received a pension or allocated pension payment under these regulations and it is subsequently discovered that, by reason of a mistake, the amount of the payment is in excess of the amount properly payable to that person under these regulations, the Board may write off the whole or any part of the excess amount so paid if satisfied that (a) the excess amount of that part is irrecoverable; or(b) the enforcement of the repayment by that person of the excess amount of that part would impose undue financial hardship on that person or would be inequitable.
85. Reduction or suspension of invalidity pension in certain cases
(1) If an invalidity pensioner or an interim invalidity pensioner the Board, if it thinks fit, may suspend the pension payable to that pensioner or reduce the amount of that pension to an amount that, in the Board's opinion, the circumstances of the case warrant, or may suspend that pension for such period, or until the happening of such an event, as the Board determines.(a) is offered suitable permanent employment in the service of an Agency; or(b) accepts a position as an employee; or(c) engages in employment otherwise than in the service of an Agency; or(d) engages in any business or occupation on his or her own account; or(e) is restored to health (2) If the Board suspends or reduces an invalidity pension under subregulation (1) and the person is again determined by the Board to be suffering from such invalidity as to be retired, the Board is to restore the pension to the full rate.(3) Notwithstanding any other regulation, if an invalidity pensioner is reappointed to an office or position in an Agency (a) he or she is obliged to contribute to the Fund; and(b) if he or she is again retired or permitted to retire on the grounds of invalidity, he or she is entitled to a pension calculated at the same rate as the rate at which the invalidity pension that he or she was receiving immediately before his or her reappointment would have been payable if he or she had not been reappointed.(4) If an invalidity pensioner who is reappointed to an office or position in an Agency subsequently retires, he or she is entitled to a pension benefit calculated in accordance with any applicable provisions of Parts 4 and 7 but in any event the annual amount of that pension is not to be less than the annual amount of the invalidity pension immediately before his or her reappointment.
86. Right of certain pensioners to commute pension to lump sum
(1) A person who immediately before 1 July 1994 is or was in receipt of a widow's pension or widower's pension which first become payable under the Retirement Benefits Act 1970 or the Superannuation Act 1938 and who has not attained age 60 years, may, within 3 months after attaining that age, elect to convert the whole or part of that pension into a lump sum payment as provided in this regulation.(2) [Regulation 86 Subregulation (2) substituted by No. 18 of 1999, s. 86, Applied:14 May 1999] A person who, immediately before 1 July 1994, was in receipt of an invalidity pension under the repealed Act or after that date becomes entitled to an invalidity pension calculated under clause 7 of Schedule 3 may elect to commute the whole or a part of that pension into a lump sum payment.(2A) [Regulation 86 Subregulation (2A) inserted by No. 18 of 1999, s. 86, Applied:14 May 1999] An election under subregulation (2) is to be made within 6 months after the person attains the age of 60 years, 63 years or 65 years and may be made on one occasion only.(3) [Regulation 86 Subregulation (3) amended by S.R. 1994, No. 178, Applied:01 Jul 1994] A person who after 1 July 1994 becomes entitled to a pension under regulation 79(1) may, within 3 months of becoming entitled to that pension, elect to convert the whole or part of that pension into a lump sum payment as provided in this regulation.(4) [Regulation 86 Subregulation (4) substituted by No. 18 of 1999, s. 86, Applied:14 May 1999] A person who makes an election under this regulation is entitled to a lump sum benefit equal to the amount of the pension forgone by him or her multiplied by the conversion factor that is applicable to that person on the date on which his or her election becomes effective.(4A) [Regulation 86 Subregulation (4A) inserted by No. 18 of 1999, s. 86, Applied:14 May 1999] The lump sum benefit entitlement under subregulation (4) may, subject to Part 7A , be paid out of the Fund to that person or transferred by that person to his or her investment account or allocated pension account.(5) [Regulation 86 Subregulation (5) amended by S.R. 1994, No. 178, Applied:01 Jul 1994] When an election is made under this regulation, the pension is to be reduced on the day following receipt of the election by the Board by the percentage of the pension specified in the election.(6) For the purposes of subregulation (2) , the conversion factor for determining a lump sum payment under subregulation (4) for each $1 of pension converted by an invalidity pensioner is as follows:
Age of pensioner on date on which the election becomes effective
Conversion factor
65
6.5
63
6.5
60
7.5
(7) For the purposes of subregulations (1) and (3) , the conversion factor for determining a lump sum payment under subregulation (4) for each $1 converted by a pensioner is as follows:
Age of pensioner on date on which the election becomes effective
Conversion factor
Over 90 years
Factor to be determined by Actuary
90 years
2.5
89 years and under 90 years
2.7
88 years and under 89 years
2.9
87 years and under 88 years
3.1
86 years and under 87 years
3.3
85 years and under 86 years
3.5
84 years and under 85 years
3.7
83 years and under 84 years
3.9
82 years and under 83 years
4.1
81 years and under 82 years
4.3
80 years and under 81 years
4.5
79 years and under 80 years
4.9
78 years and under 79 years
5.3
77 years and under 78 years
5.7
76 years and under 77 years
6.1
75 years and under 76 years
6.5
74 years and under 75 years
6.7
73 years and under 74 years
6.9
72 years and under 73 years
7.1
71 years and under 72 years
7.3
70 years and under 71 years
7.5
69 years and under 70 years
7.7
68 years and under 69 years
7.9
67 years and under 68 years
8.1
66 years and under 67 years
8.3
65 years and under 66 years
8.5
64 years and under 65 years
8.7
63 years and under 64 years
8.9
62 years and under 63 years
9.1
61 years and under 62 years
9.3
60 years and under 61 years
9.5
59 years and under 60 years
9.7
58 years and under 59 years
9.9
57 years and under 58 years
10.1
56 years and under 57 years
10.3
55 years and under 56 years
10.5
54 years and under 55 years
10.6
53 years and under 54 years
10.7
52 years and under 53 years
10.8
51 years and under 52 years
10.9
50 years and under 51 years
11.0
49 years and under 50 years
11.1
48 years and under 49 years
11.2
47 years and under 48 years
11.3
46 years and under 47 years
11.4
45 years and under 46 years
11.5
44 years and under 45 years
11.6
43 years and under 44 years
11.7
42 years and under 43 years
11.8
41 years and under 42 years
11.9
under 41 years
12.0
(8) This regulation applies to an applicant for an invalidity pension as if he or she were an invalidity pensioner.(9) [Regulation 86 Subregulation (9) inserted by No. 18 of 1999, s. 86, Applied:14 May 1999] This regulation does not apply to a woman to whom regulation 79A applies.
87. Amounts of pension to be rounded off
[Regulation 87 Amended by No. 18 of 1999, s. 87, Applied:14 May 1999] If an amount of pension or allocated pension that is calculated under these regulations leaves a fraction of a cent, if the fraction (a) is 0.5 cent or more, that amount is to be increased to the next highest whole number of cents; or(b) is less than 0.5 cent, that amount is to be reduced to the next lowest whole number of cents.
(1) [Regulation 88 Subregulation (1) amended by No. 18 of 1999, s. 88, Applied:14 May 1999] A pension or allocated pension payable under these regulations is not capable of being assigned, charged, taken in execution or passed under any law to any person other than the pensioner to or for whose benefit it is payable.(2) [Regulation 88 Subregulation (2) amended by No. 18 of 1999, s. 88, Applied:14 May 1999] Subregulation (1) does not prevent a pensioner from assigning to, or charging in favour of, the Board any pension or allocated pension or other benefit so far as may be necessary for securing the payment of money payable to the Board.
PART 7A - Taxation, Preservation and Payment of Lump Sum and Pension Benefit Entitlements
88A. Calculation of notional contributions surcharge amount
[Regulation 88A Inserted by No. 18 of 1999, s. 89, Applied:14 May 1999] For the purposes of this Part, the Board must calculate for each contributor or eligible employee a notional contributions surcharge amount having regard to his or her salary and the notional surchargeable contributions factor provided to the Board by the Actuary as required by the law of the Commonwealth and these regulations.
[Regulation 88B Inserted by No. 18 of 1999, s. 89, Applied:14 May 1999](1) The Board must provide the Actuary with such information in respect of contributors, eligible employees or pensioners as may be necessary for the purposes of this Part.(2) The Board must provide the Taxation Commissioner with such information in respect of contributors, eligible employees or pensioners as may be required under the law of the Commonwealth.
88C. When benefit entitlement becomes payable
[Regulation 88C Inserted by No. 18 of 1999, s. 89, Applied:14 May 1999](1) For the purposes of this Part, a person's benefit under these regulations that is taken to be payable at the time the person is paid the benefit.(a) includes a contribution by the Minister or a prescribed authority; and(b) is not an interim invalidity pension or an interim spouse pension (2) Where no contribution is payable by the Minister or a prescribed authority because the benefit is payable from an investment account or allocated pension account, the benefit becomes payable when the person entitled, or in the event of the person's death his widow, her widower or the personal representative, makes a claim for payment of the benefit.
88D. Benefit entitlements subject to Commonwealth preservation and payment standards
[Regulation 88D Inserted by No. 18 of 1999, s. 89, Applied:14 May 1999](1) All benefit entitlements calculated and payable under these regulations by the Board are subject to any preservation and benefit payment standards prescribed by the law of the Commonwealth.(2) On and from 1 July 1999, all contributions paid by or on behalf of persons referred to in these regulations are to be preserved in accordance with the Commonwealth preservation standards.
88E. Benefit entitlement subject to taxation
[Regulation 88E Inserted by No. 18 of 1999, s. 89, Applied:14 May 1999](1) A benefit entitlement calculated and paid under Part 4 , 5 or 7 , regulation 69 or 103 or Schedule 3 or transferred to an investment account under regulation 63(5) is to be treated by the Board for the purpose of taxation under the law of the Commonwealth (a) in the case of a lump sum, as an eligible termination payment emanating from an untaxed source; or(b) in the case of a pension, as a non-rebatable superannuation pension.(2) A benefit entitlement calculated and paid under regulation 60 or 65 is to be treated by the Board for the purpose of taxation under the law of the Commonwealth (a) in the case of a lump sum, as an eligible termination payment emanating from a taxed source; or(b) in the case of a pension or allocated pension, as a rebatable superannuation pension.(3) The Board must deduct from benefit entitlements any amount required to be paid as taxation under the law of the Commonwealth and must remit that amount to the Taxation Commissioner.
88F. Provision of certain information by Board
[Regulation 88F Inserted by No. 18 of 1999, s. 89, Applied:14 May 1999](1) The Board must provide the Taxation Commissioner, as required by the law of the Commonwealth, with particulars of the notional contributions surcharge amount in respect of each contributor, eligible employee or pensioner.(2) An amount under subregulation (1) is to take into account separately the amount payable to each contributor, eligible employee or pensioner with respect to benefit entitlements accruing under Parts 4 , 5 , 6 and 7 , regulation 103 and Schedule 3 .(3) The Board is to give to each contributor, eligible employee or pensioner a copy of the particulars given to the Taxation Commissioner under subregulation (1) relating to that person together with details of how the amount was calculated.(4) If a contributor, eligible employee or pensioner believes that the amount referred to in subregulation (1) is incorrect owing to either a miscalculation of matters ascertained by the Actuary or a mistake of fact, the contributor, eligible employee or pensioner may, by notice in writing to the Board (a) request that the calculation of the amount be reviewed; and(b) request the Board to consider any evidence which he or she may submit to it.
88G. Establishment of surchargeable contributions debt account
[Regulation 88G Inserted by No. 18 of 1999, s. 89, Applied:14 May 1999](1) On receipt of the first assessment notice from the Taxation Commissioner in respect of a contributor, eligible employee or pensioner, the Board must establish a surchargeable contributions debt account in respect of him or her.(2) The Board must debit the surchargeable contributions debt account with the amount of any surcharge contributions tax liability specified in the assessment notice relating to the contributor, eligible employee or pensioner.(3) If the surchargeable contributions debt account is in debit at the end of a financial year, the Board must, in accordance with the law of the Commonwealth, debit the account with interest.(4) Where a lump sum or a pension benefit entitlement becomes payable by the Board to a contributor, eligible employee or pensioner whose account is in debit, the Board must pay to the Taxation Commissioner, within one month after the day on which the lump sum or the first instalment of pension becomes payable, the amount by which the account is in debit in respect of that benefit entitlement.(5) The Board, at least annually, must inform each contributor, eligible employee or pensioner of the balance of his or her surchargeable contributions debt account and of any debits or credits, including interest, to that account.
88H. Right of members to pay into surchargeable contributions debt account
[Regulation 88H Inserted by No. 18 of 1999, s. 89, Applied:14 May 1999](1) A contributor, eligible employee or pensioner may make payments to his or her surchargeable contributions debt account to reduce in full or in part the balance of that account.(2) A payment made under subregulation (1) by a contributor, eligible employee or pensioner is taken not to be a contribution for the purposes of the law of the Commonwealth.(3) A payment made under subregulation (1) by an Agency on behalf of a contributor, eligible employee or pensioner as part of his or her remuneration is taken to be a contribution by that Agency for the purposes of the law of the Commonwealth.(4) On receipt of a payment under this regulation, the Board must (a) credit the surchargeable contributions debt account with that amount; and(b) take any other action required under the law of the Commonwealth.
88I. Reduction of benefit entitlements
[Regulation 88I Inserted by No. 18 of 1999, s. 89, Applied:14 May 1999](1) A benefit or benefit entitlement payable under these regulations is to be reduced at the time of payment by the Board to the extent of the balance of the surchargeable contributions debt account.(2) For the purposes of subregulation (1) (a) where a benefit entitlement payable under the contributory scheme, the non-contributory scheme or Part 6 or substituted under regulation 103 is taken wholly as a lump sum, the lump sum benefit entitlement is to be reduced by an amount representing any part of the surchargeable contributions debt account attributable to that benefit entitlement; and(b) where a person elects to commute part of his or her lump sum benefit entitlement payable under the contributory scheme, the non-contributory scheme or Part 6 to a pension the part of the benefit remaining as a lump sum must be sufficient to discharge the balance of the surchargeable contributions debt account and an amount representing any part of that account attributable to that benefit entitlement is to be deducted from the lump sum remaining; and(i) calculated under regulation 78 ; or(ii) calculated in accordance with Schedule 3 ; or(iii) substituted under regulation 103 (c) where a person elects to commute all of his or her lump sum benefit entitlement payable under the contributory scheme, the non-contributory scheme or Part 6 to a pension calculated under regulation 78 , the part of the benefit taken as a lump sum must be sufficient to discharge the balance of the surchargeable contributions debt account and an amount representing any part of that account attributable to that benefit entitlement is to be deducted from the benefit entitlement before the commutation to a pension; and(d) where a person elects to commute all of a benefit entitlement payable under the contributory scheme to a pension substituted under regulation 103 or a pension in accordance with Schedule 3 , the amount by which the annual pension is to be reduced is determined in accordance with the following formula:where PR is the amount by which the annual pension payable to a contributor or pensioner is to be reduced;SCDA is the balance of the surchargeable contributions debt account attributable to the benefit entitlement at the time the surcharge liability is payable;CF is the appropriate age, marital and gender factor specified for a pension determined by the Board in accordance with regulation 78(1) or (2) .(3) A person who receives an assessment notice in respect of a pension payable under these regulations may elect in writing to the Board to commute sufficient of his or her pension to a lump sum to discharge the balance of his or her surchargeable contributions debt account.(4) On receipt of an election under subregulation (3) , the Board must reduce the pension as provided by subregulation (2) and must pay the lump sum to that person to enable that person to discharge the balance of his or her surchargeable contributions debt account.
PART 8 - Financial
The expenses incurred in the administration of these regulations are to be paid out of the Fund.
90. Contributions to Fund by the State and prescribed authorities
(1) [Regulation 90 Subregulation (1) amended by No. 18 of 1999, Sched. 4, Applied:14 May 1999] [Regulation 90 Subregulation (1) amended by S.R. 1996, No. 168, Applied:04 Dec 1996] The Minister or a prescribed authority is to pay to the Fund (a) [Regulation 90 Subregulation (1) amended by S.R. 1996, No. 168, Applied:04 Dec 1996] [Regulation 90 Subregulation (1) amended by No. 18 of 1999, s. 90, Applied:14 May 1999] in respect of a person who receives a contribution in respect of each pension or lump sum payment equal to five-sevenths, or any other proportion that the Minister on the advice of the Actuary determines, of the pension or lump sum benefit that would have been payable if the employee had always contributed at the basic contribution rate; and(i) a lump sum benefit from the Fund under regulation 36 , 38 , 39 or 42 or, if such a benefit is converted to a pension under regulation 77 , that pension; or(ii) an interim invalidity or spouse pension under regulation 40 (b) in respect of a person who is paid a lump sum benefit from the Fund under regulation 43 , a contribution equal to (i) [Regulation 90 Subregulation (1) amended by No. 79 of 1997, Sched. 4, Applied:15 Jan 1998] [Regulation 90 Subregulation (1) amended by No. 18 of 1999, s. 90, Applied:14 May 1999] in respect of a contributor to whom regulation 37 refers who becomes entitled to an amount of money under regulation 43(8)(a) and who does not cease to be a contributor by reason of a prescribed arrangement, the whole of the amount, less the sum payable by the Fund under regulation 43(4)(a) ; or(ia) [Regulation 90 Subregulation (1) amended by No. 79 of 1997, Sched. 4, Applied:15 Jan 1998] [Regulation 90 Subregulation (1) amended by No. 18 of 1999, s. 90, Applied:14 May 1999] in respect of a contributor who ceases to be a contributor as a result of a prescribed arrangement and is entitled to both a benefit under regulation 37 and an amount of money under regulation 43(8)(a) , the total benefit payable under regulation 37 less the amount payable by the Fund under regulation 43(4)(a) ; or(ib) [Regulation 90 Subregulation (1) amended by No. 19 of 1998, s. 14, Applied:19 Jun 1998] [Regulation 90 Subregulation (1) amended by No. 18 of 1999, s. 90, Applied:14 May 1999] in respect of a contributor who ceases to be a contributor as a result of a prescribed arrangement and is entitled to a benefit under regulation 37A and an amount of money under regulation 43(10) , the total benefit payable under regulation 37A that exceeds the balance of his or her account under regulation 31 ; or(ii) [Regulation 90 Subregulation (1) amended by No. 18 of 1999, s. 90, Applied:14 May 1999] in respect of a contributor to whom regulation 41 refers who becomes entitled to a benefit payable under regulation 43(8)(c) , the whole of the benefit that is in excess of the balance standing to the credit of the contributor's account under regulation 31 ; and(c) in respect of a person who receives a lump sum benefit from the Fund under regulation 44 , a contribution equal to the whole of the benefit that is in excess of the balance standing to the credit of the contributor's account under regulation 31 ; and(d) in respect of a person who receives a lump sum benefit from the Fund under Part 5 , or if that benefit is converted to a pension under regulation 77 , a contribution equal to the lump sum benefit that would have been payable if no election had been made under regulation 77 ; and(e) in respect of a lump sum or pension which becomes payable under regulation 63 , a contribution equal to the whole of the lump sum benefit, notwithstanding that the benefit may be taken as a pension; and(f) [Regulation 90 Subregulation (1) amended by S.R. 1996, No. 168, Applied:04 Dec 1996] [Regulation 90 Subregulation (1) amended by No. 18 of 1999, Sched. 4, Applied:14 May 1999] in respect of a pension continued under regulation 76 or a benefit payable under the Retirement Benefits (Transitional) Regulations 1994 , a contribution calculated as a percentage of the pension, being the same percentage that the Minister or prescribed authority was contributing towards that pension or benefit immediately before 1 July 1994; and(g) in respect of a person who receives a pension from the Fund payable under regulation 79 , a contribution equal to two-thirds of the contribution that would have been payable in respect of the pension payable to the deceased spouse of the person as at the date of his or her death; and(h) [Regulation 90 Subregulation (1) amended by S.R. 1996, No. 168, Applied:04 Dec 1996] [Regulation 90 Subregulation (1) amended by No. 18 of 1999, Sched. 4, Applied:14 May 1999] in respect of a person who receives a lump sum payment from the Fund under regulation 86 , a contribution calculated as a percentage of the lump sum, being the same percentage that the Minister or prescribed authority was contributing towards the pension payable immediately before the election to commute all or part of that pension to a lump sum payment; and(i) in respect of a person who receives a lump sum or pension payment from the Fund under regulation 103 , a contribution determined by the Board on the advice of the Actuary.(2) [Regulation 90 Subregulation (2) amended by No. 18 of 1999, Sched. 4, Applied:14 May 1999] [Regulation 90 Subregulation (2) amended by S.R. 1996, No. 168, Applied:04 Dec 1996] A reference in subregulation (1) to the contributions payable by the Minister or a prescribed authority in respect of pensions is a reference to pensions as increased each half-year under regulation 81 .(2A) [Regulation 90 Subregulation (2A) amended by No. 18 of 1999, Sched. 4, Applied:14 May 1999] [Regulation 90 Subregulation (2A) amended by S.R. 1996, No. 168, Applied:04 Dec 1996] [Regulation 90 Subregulation (2A) inserted by S.R. 1994, No. 178, Applied:01 Jul 1994] The amount payable by the Minister or a prescribed authority is to be reduced by an amount equal to five-sevenths of the lump sum received or any other amount the Minister determines on the advice of the Actuary if a lump sum has been received under (a) regulation 24 ; or(b) regulation 6 or 15 of the Retirement Benefits (Transitional) Regulations 1994 .(2B) [Regulation 90 Subregulation (2B) inserted by S.R. 1995, No. 35, Applied:28 Jun 1995] The amount payable by the University of Tasmania in respect of a former employee of the Tasmanian College of Advanced Education who was transferred in employment to the University of Tasmania is to be calculated in accordance with the provisions of Schedule 4 .(3) [Regulation 90 Subregulation (3) amended by S.R. 1996, No. 168, Applied:04 Dec 1996] Any contribution that, but for this subregulation, would have been payable by the Minister under this regulation in relation to a person in respect of whom money is deposited in the Fund under regulation 91 is to be met from all money so deposited and any accretions to that money.(4) [Regulation 90 Subregulation (4) amended by S.R. 1996, No. 168, Applied:04 Dec 1996] If the total of all money deposited in the Fund under regulation 91 and all accretions to that money is insufficient to meet a contribution payable under this regulation, the Minister must pay to the Fund or the special accounts referred to in regulation 91 an amount sufficient to enable that contribution to be so met.(5) [Regulation 90 Subregulation (5) inserted by No. 79 of 1997, Sched. 4, Applied:15 Jan 1998] The application of subregulation (1) , as amended by the Metro Tasmania (Transitional and Consequential Provisions) Act 1997 , extends to an arrangement or agreement made after 1 September 1997 which was at the relevant time a transfer arrangement within the meaning of these regulations as then in force.
90A. Contributions to Fund in respect of benefits reduced under Part 7A
[Regulation 90A Inserted by No. 18 of 1999, s. 91, Applied:14 May 1999](1) This regulation applies to a benefit which has been reduced under Part 7A .(2) Notwithstanding regulation 90 , the Minister or a prescribed authority is to pay to the Fund in respect of a benefit which has been reduced under regulation 88I(2) a contribution equal to five-sevenths, or any other proportion that the Minister on the advice of the Actuary determines, of the surchargeable contributions debt account attributable to that benefit at the time the benefit is payable.
91. Provisions for certain State authorities
(1) The Board must maintain separate accounts for money paid to it under (a) [Regulation 91 Subregulation (1) amended by S.R. 1995, No. 35, Applied:28 Jun 1995] section 29D of the Retirement Benefits Act 1982 ;(b) [Regulation 91 Subregulation (1) amended by S.R. 1995, No. 35, Applied:28 Jun 1995] section 29E of the Retirement Benefits Act 1982 ;(c) [Regulation 91 Subregulation (1) amended by S.R. 1996, No. 168, Applied:04 Dec 1996] [Regulation 91 Subregulation (1) amended by No. 79 of 1997, Sched. 4, Applied:15 Jan 1998] where appropriate, a prescribed arrangement.(2) The Board must credit to the separate accounts (a) any contribution paid; and(b) interest at a rate determined in accordance with regulation 94 in respect of the amounts from time to time standing to the credit of those accounts.(3) The Board may debit the accounts with any of the following amounts:(a) an amount relating to the taxation liability and to the expenses incurred in the administration of the accounts;(b) an amount authorized by these regulations;(c) [Regulation 91 Subregulation (3) amended by S.R. 1996, No. 168, Applied:04 Dec 1996] an amount approved by an instrument in writing made by the Minister for the purposes of these regulations.
92. Provision for payments by the State
(1) [Regulation 92 Subregulation (1) amended by S.R. 1996, No. 168, Applied:04 Dec 1996] A contribution that is required by these regulations to be paid to the Fund by the Minister in respect of the financial year commencing on 1 July 1994, or any subsequent financial year is to be paid by the Minister out of the Public Account.(2) A contribution that is required to be paid to the Fund by an Agency under regulations 90 and 91(2) is to be paid within 7 days of a claim being issued by the Board and, on the failure to make that payment in full, the Board may impose interest on arrears of the contribution.
93. Contributions apportioned between State and State authorities
[Regulation 93 Amended by S.R. 1996, No. 168, Applied:04 Dec 1996] [Regulation 93 Amended by No. 18 of 1999, Sched. 4, Applied:14 May 1999] If, on or after 1 July 1994, the salary of an employee is payable by a prescribed authority during a portion of his or her service and by the Minister or by another prescribed authority during any other portion of his or her service, the payment under regulation 90 in respect of any lump sum benefit or pension payable to or in respect of him or her may be apportioned, on any basis the Board certifies to be equitable, between the authority and the Minister, or between those authorities, as the case may be.
(1) [Regulation 94 Subregulation (1) substituted by S.R. 1994, No. 178, Applied:01 Jul 1994] Interest is calculated as at 1 July in each year by reference to the average earning rates for each of the 3 financial years immediately preceding that date of (a) the Fund for the purposes of Part 4 ; and(b) [Regulation 94 Subregulation (1) amended by No. 18 of 1999, s. 92, Applied:02 Oct 1999] . . . . . . . .(c) the accounts established under regulation 91 , for the purposes of that regulation.(2) [Regulation 94 Subregulation (2) substituted by S.R. 1994, No. 178, Applied:01 Jul 1994] The earning rate for each financial year (a) is to be determined by the Board, on the advice of the Actuary; and(b) is to include any unrealized capital gains and losses as income for the purposes of regulation 18(4) .(2A) [Regulation 94 Subregulation (2A) inserted by S.R. 1994, No. 178, Applied:01 Jul 1994] In determining the earning rate for a financial year, the Board is to take into account the administration, taxation and other expenses that (a) the Board is likely to pay in respect of that year; and(b) are likely to remain in force for a period of 12 months commencing on 1 October in that year.(3) The Board may determine an interim interest rate.(4) Interest commences to accrue on the day contributions or other payments made by, or on behalf of, employees are received by the Board or the Fund and ceases to accrue on the day on which the Board advises the employee of the amount of his or her entitlement to a refund of contributions or other payments.
94A. Allocated pension and investment choice income distributions
[Regulation 94A Inserted by No. 18 of 1999, s. 93, Applied:02 Oct 1999](1) This regulation applies to subfunds established for the purpose of investment accounts and allocated pension accounts.(2) Interest in respect of a subfund to which this regulation applies is calculated and determined by the Board at least annually by reference to the earning rates of the subfund.(3) The earning rates for each financial year or part of a financial year in respect of each subfund to which this regulation applies (a) are to be determined by the Board, having regard to the advice of the Board's investment and actuarial consultants; and(b) are to take account of the Board's investment policy; and(c) are to take into account any allowances for unrealised capital gains and losses; and(d) may take account of any cost of administration, investment management, taxation and other expenses the Board has paid or is likely to pay.(4) The Board must, at least annually, advise a person having an interest in a subfund to which this regulation applies of its income distribution policy and any changes to that policy.(5) The Board may determine interim interest rates to be applied to a subfund to which this regulation applies.(6) The Board must formulate and give effect to an income distribution policy for a subfund to which this regulation applies.(7) In formulating that policy, the Board must (a) having regard to the advice of actuarial and investment consultants, treat any unrealised capital gains and losses as income for the purposes of regulation 18(4) ; and(b) take into account the administration, taxation and other expenses incurred by the Board in the administration and management of a subfund to which this regulation applies; and(c) have regard to the reserves accumulated in a subfund to which this regulation applies, as advised by the Actuary.
PART 9 - Discretionary powers of board
95. Determination of questions arising under regulations
[Regulation 95 Substituted by S.R. 1995, No. 104, Applied:11 Oct 1995](1) If a question arises as to the question is to be determined by the Board.(a) whether any payment periodically received by an employee is to be regarded as part of the employee's salary for the purposes of these regulations; or(b) the rate of an employee's salary at any particular time; or(c) whether any payment received by an employee is to be regarded as the payment of an allowance; or(d) the nature or length of an employee's service (2) For the purpose of subregulation (1)(b) the Board is not to make a determination which has retrospective effect.
96. Power of Board to determine invalidity
(1) [Regulation 96 Subregulation (1) amended by No. 18 of 1999, s. 94, Applied:14 May 1999] If a question arises under these regulations, either before or after retirement as to whether the question is to be determined by the Board having regard to any medical or other evidence provided by, or on behalf of, the employee or person on the basis of a report of a legally-qualified medical practitioner appointed or employed by the Board.(a) an employee is suffering from such bodily infirmity, physical incapacity or mental incapacity as to be retired on the grounds of invalidity; or(b) an employee who immediately before 1 July 1994 was a contributor under the repealed Act is not suffering from bodily infirmity, physical incapacity or mental incapacity as to be retired on the grounds of invalidity but is suffering from incapacity or infirmity as to be retired on the grounds of partial and permanent incapacity or infirmity; or(c) a person who is in receipt of an invalidity pension is wholly incapacitated; or(d) [Regulation 96 Subregulation (1) amended by S.R. 1995, No. 104, Applied:11 Oct 1995] the health of a person who is in receipt of an invalidity pension is such that the person is able to resume duty (2) If the Board determines that an employee who has applied to retire on the grounds of invalidity the Board may determine that the employee is entitled to an interim invalidity pension.(a) is unfit to perform the duties of his or her position; and(b) is likely to recover sufficiently so as to enable him or her to perform the duties of his or her position, or such other position which he or she might be required to accept; and(c) should not be retired on the grounds of invalidity (3) If a contributor becomes entitled to an interim invalidity pension, he or she remains a contributor and is to continue to contribute to the Fund as provided by regulation 30 .(4) For the purposes of subregulation (1)(b) ,partial and permanent incapacity or infirmity, in relation to an existing contributor or an amalgamated contributor, means incapacity or infirmity suffered by a contributor of such kind that the Board is satisfied that, by reason of his or her suffering that incapacity or infirmity, the contributor is unfit to continue to perform the duties of his or her office or position or the duties of some other office or position that he or she may be required to accept.(5) If an employee is entitled to an interim invalidity pension under a determination under subregulation (2) must not retire that person, or permit him or her to retire on the grounds of invalidity during the period that he or she is entitled to that pension.(a) the Commissioner for Public Employment, in the case of an employee who, immediately before becoming entitled to that pension, was employed in an office or position that is subject to the State Service Act; or(b) the Head of the Agency in which that person was employed immediately before becoming entitled to that pension (6) If, after such inquiry as it thinks necessary following a question arising with respect to a matter referred to in this regulation, the Board is satisfied that the health of an employee, an interim invalidity pensioner or invalidity pensioner is such as to enable him or her to perform the duties of an office or a position that is available to him or her and that he or she may be required to accept, the Board is to report its decision (a) to the Commissioner for Public Employment, in the case of was employed in an office or a position that is subject to the State Service Act; or(i) an employee who, immediately before the holding of the inquiry; or(ii) an interim invalidity pensioner or an invalidity pensioner who, immediately before becoming entitled to an invalidity pension (b) in any other case, to the Head of the Agency in which (i) the employee was employed immediately before the holding of the inquiry; or(ii) [Regulation 96 Subregulation (6) amended by S.R. 1995, No. 104, Applied:11 Oct 1995] the interim invalidity pensioner or the invalidity pensioner was employed immediately before becoming entitled to an invalidity pension; or(c) [Regulation 96 Subregulation (6) amended by S.R. 1995, No. 104, Applied:11 Oct 1995] if the Board considers it appropriate, to both the Commissioner of Public Employment and any Head of Agency or Chief Executive of a State authority the Board considers may be able to provide suitable alternative employment.
(1) If, in the opinion of the Board the Board may certify that the break does not affect the continuity of the employee's service.(a) the period of service of an employee has been broken through causes beyond his or her control; or(b) a break in the service has been of a technical character only (2) If the Board gives a certificate under subregulation (1) in respect of an employee, the Board, subject to these regulations, may assess the amount of contributions to be paid by the employee, on any basis it thinks equitable, as if there had been no break of service.(3) Notwithstanding subregulation (2) , the Board must not make an assessment in respect of a period exceeding 3 months during which an employee's service was broken.
98. Payment without grant of probate
(1) If an employee, former employee or pensioner dies and the Board, if it so decides, may make a payment of the whole or any part of the benefit in accordance with subregulation (2) that does not exceed $50 000.(a) a benefit is or becomes payable under these regulations in relation to the deceased; and(b) evidence of the grant of probate of the will, or letters of administration of the estate of the deceased, have not been produced to the Board; and(c) the Board has not, within the period of 3 months that next succeeds the death of the deceased, received a notice of intention to apply for a grant of probate of the will, or letters of administration of the estate, of the deceased (2) If the Board makes a decision under subregulation (1) , the Board, after paying the funeral expenses of the deceased or reimbursing a person who has paid those expenses, may pay the whole or any part of the balance to any person the Board considers appropriate.
(1) A contributor, other than an amalgamated contributor whose salary is reduced, by notice in writing to the Board, may elect that this regulation is to apply to the contributor in respect of the relevant period and, on the making of the election (a) the contributor's pension or lump sum entitlement is to be calculated as if the contributor's salary had remained unaltered; and(b) the contributor is to continue to pay the same contributions to the Fund during the relevant period as the contributor was paying immediately before the reduction took effect.(2) For the purposes of subregulation (1) , a contributor must not elect to include as salary any allowance previously received, unless otherwise determined by the Board under regulation 95 .(3) For the purposes of subregulation (1) , the relevant period is the period commencing on the day on which the reduction in the contributor's salary took effect and ending on whichever happens first.(a) the day on which, by reason of a subsequent increase of salary, his or her salary becomes equal to or greater than the salary payable immediately before the reduction took effect; or(b) the day of retirement or death (4) Subregulation (1) does not apply to a contributor whose salary is reduced by reason of him or her becoming a permanent or temporary part-time employee.(5) If the salary of an amalgamated contributor is reduced (a) the amalgamated contributor is to continue to pay the same contributions to the Fund as he or she was paying immediately before the reduction took place; and(b) the contributor's pension or lump sum benefit is to be calculated as if the salary had remained unaltered.
(1) A person who becomes a contributor on or after 1 July 1994 is not eligible to become a contributor for full benefits until a legally-qualified medical practitioner employed or approved by the Board has examined that person and has signed a certificate stating that, in his or her opinion, the person is not affected by any physical or mental defect likely to render him or her incapable, before attaining age 60 years, of performing his or her duties.(2) A person is not eligible to become a contributor for full benefits unless the Board is satisfied, after considering the certificate of the medical practitioner referred to in subregulation (1) , that the health and physical condition of the person are such as to justify him or her being accepted as such a contributor.(3) A person who becomes a contributor and is a contributor for limited benefits and remains such a contributor until he or she has completed 10 years' service or becomes a contributor for full benefits under this regulation.(a) who does not undergo a medical examination referred to in subregulation (1) ; or(b) who, having undergone such a medical examination, is not the subject of a certificate by a medical practitioner as mentioned in subregulation (1) ; or(c) who, being the subject of such a certificate, is unable to satisfy the Board as to his or her health and physical condition as mentioned in subregulation (2) (4) An invalidity pensioner or an interim invalidity pensioner must submit for a medical examination as and when required by the Board, and in default of doing so, the Board may suspend payment of his or her pension during the continuance of the default.(5) If the Board suspends payment of a pension under subregulation (4) , the pension ceases to be payable on that suspension for the period of the suspension.(6) This regulation applies to, and in relation to, an applicant for an invalidity pension as if the applicant were an invalidity pensioner.
101. False and misleading information
(1) A person must not (a) in a certificate, return, declaration or other document given or sent to, or lodged with the Board by or on behalf of that person for any of the purposes of these regulations, knowingly furnish information that is false or misleading; or(b) for the purposes of a medical examination required to be undergone under these regulations, knowingly furnish the medical practitioner by whom the examination is made with information as to the state of his or her health or his or her medical history that is false or misleading.Penalty: Fine not exceeding 50 penalty units.(2) If a person is convicted of an offence against subregulation (1) , the Board may (a) in the case of a contributor, determine (i) that the person immediately ceases to be a contributor and is not eligible, either permanently or for any period the Board determines, to contribute to the Fund; or(ii) if contributions have not commenced, that the person is not eligible to commence to contribute to the Fund either permanently or for any period the Board determines; or(b) in the case of a pensioner, determine that his or her pension is cancelled immediately; or(c) in the case of a person other than a contributor or pensioner, determine that the person is not eligible to commence to contribute to the Fund, either permanently or for any period the Board determines.(3) If the Board determines that a contributor ceases to be a contributor, the Board must refund the contributions, together with interest on those contributions.(4) A contributor to whom subregulation (3) applies, is an eligible employee for the purposes of Part 5 in respect of the total period of service as an employee.
102. Power of Board to reinstate lost rights
(1) [Regulation 102 Subregulation (1) amended by S.R. 1996, No. 168, Applied:04 Dec 1996] If the Board is satisfied, after any inquiry it considers necessary, that a person has, otherwise than through his or her own fault, lost or ceased to be entitled to a right, privilege or benefit under these regulations or the repealed Act to which he or she was otherwise entitled or might have obtained, and that, in the Board's view, it is equitable that he or she should be allowed to have the enjoyment of that right, privilege or benefit, the Board, with the approval of the Minister, may permit the person to exercise the right or grant to him or her the privilege or benefit, notwithstanding that the time prescribed for doing any act in relation to the entitlement may have expired.(2) The Board must not exercise its powers under subregulation (1) (a) [Regulation 102 Subregulation (2) amended by No. 18 of 1999, s. 95, Applied:14 May 1999] so as to allow a person who, at the time the Board makes a determination under that subregulation, is not an employee to become a contributor; or(b) so as to allow the date on which such a person became a contributor to be varied.(3) [Regulation 102 Subregulation (3) amended by S.R. 1996, No. 168, Applied:04 Dec 1996] The Board, in the exercise of its powers under subregulation (1) , may impose any conditions and requirements it considers just and the Minister approves.
103. Power of Board to grant pension or lump sum not in accordance with regulations
(1) If the Board, after any inquiry it considers necessary, is satisfied that a contributor within the meaning of the repealed Act would have been entitled to a benefit as a contributor within the meaning of that Act which is superior to the benefit provided under these regulations or the Retirement Benefits (Transitional) Regulations 1994 , the Board is to substitute the benefit payable under these regulations with the benefit payable under that Act on any terms and conditions the Board considers to be fair and equitable.(1A) [Regulation 103 Subregulation (1A) inserted by S.R. 1996, No. 168, Applied:04 Dec 1996] For the purposes of subregulation (1) , a reference to a contributor within the meaning of the repealed Act includes the contributor's spouse or, in the absence of a spouse, the contributor's estate.(2) For the purpose of subregulation (1) , the Board is to calculate the benefit entitlement under the SAF Agreement as set out in the repealed Act by taking the balance standing to the credit of the contributor's eligible employee accounts as at 30 June 1994 and indexing that balance at a rate declared by the Board as being equal to movements in the "Average Weekly Ordinary Time Earnings (AWOTE) in Australia" published by the Australian Bureau of Statistics or to movements in the "Consumer Price Index All Groups, All Capital Cities" as declared under regulation 81 , whichever is the greater.(3) For the purpose of subregulation (2) , the indexation rate declared by the Board is to be reviewed at 1 January and 1 July in each year in line with the most recently published AWOTE or Consumer Price Index figure immediately before that review.(4) Notwithstanding subregulation (1) , the Board may make payments of interest in respect of any benefit entitlement or further payments of interest in respect of any refunds of contributions or other payments in any circumstances it considers appropriate.(5) [Regulation 103 Subregulation (5) inserted by S.R. 1994, No. 178, Applied:01 Jul 1994] In calculating a benefit to be substituted under subregulation (1) , the Board is to determine the balance of the contributor's account in accordance with regulation 20A of the Transitional Regulations.
PART 10 - Review of Board decisions
104. Board not subject to direction
Except as provided in this Part or by the Commonwealth Superannuation Industry (Supervision) Act 1993 , a person is not to give a direction to the Board, vary a decision of the Board or substitute a decision for a decision of the Board if compliance with the direction, the variation or the substituted decision would be contrary to law or to these regulations.
[Regulation 105 Substituted by No. 18 of 1999, s. 96, Applied:14 May 1999](1) In respect of any application or question arising under regulation 85 or 88F or Part 9 , the Board must (a) make a preliminary decision on the matter; and(b) notify the applicant in writing of the preliminary decision; and(c) advise the applicant that, if he or she does not take any action under this regulation, the preliminary decision will become final.(2) An applicant may, within 14 days after receipt of a notification under subregulation (1) , elect by notice in writing to the Board (a) to appear and be heard before the Board; and(b) to submit any additional medical report or other evidence.(3) Before making a final decision on the application or question, the Board may (a) require the applicant to undergo a further medical examination by a medical practitioner or practitioners as the Board considers appropriate; and(b) seek further information from the applicant's Head of Agency or former Head of Agency as the Board considers appropriate; and(c) seek further information concerning the applicant's capacity and prospects for employment; and(d) require the applicant to submit further evidence as the Board may consider appropriate.(4) The Board, in the exercise of its powers under subregulation (3) , may impose any terms or conditions that the Board considers fair and equitable.(5) If an election under subregulation (2) is not made within the required time, the preliminary decision is taken to be the final decision of the Board.(6) The Board may extend the period referred to in subregulation (2) on the written application of the applicant within the period of 14 days referred to in that subregulation.
106. Power to apply to Supreme Court for declaration as to validity
(1) If the Board, after a hearing as provided in regulation 105 , has determined a question or an application adversely to an employee or pensioner, the employee or pensioner may require the Board to apply to the Supreme Court for a declaration in relation to that determination.(2) Subject to subregulation (3) , the Supreme Court, on an application under subregulation (1) , may make a declaration, having regard to facts existing and events that have occurred at the time the declaration is made, as to the validity or otherwise of the determination in respect of which the application is made.(3) The Supreme Court must not make a declaration under subregulation (2) in respect of a determination the validity of which cannot be decided at the time when the Court is asked to make the declaration.(4) For the purpose of reviewing a determination by the Board, the Supreme Court has all the powers and discretions that are conferred on the Board by law or under the Act or these regulations.(5) The Supreme Court may make a declaration (a) affirming the Board's decision; or(b) remitting the matter to which the Board's determination relates back to the Board for reconsideration in accordance with the directions of the Supreme Court; or(c) varying the Board's determination; or(d) setting aside the Board's determination and substituting a decision for the determination set aside.(6) Except as provided in subregulations (7) and (8) , the cost of making the application to the Supreme Court is to be met by the Board from the Fund.(7) If an employee or pensioner requires the Board to apply to the Supreme Court for a declaration, he or she must pay to the Board at the time of making that request an application fee of $200.(8) If the Supreme Court is of the view that the request made by the employee or pensioner is frivolous or not in good faith, the Court may award costs in full or part against that employee or pensioner.
107. Appeal against decision, determination or order of Board
(1) Notwithstanding regulation 106 , a person may appeal to a judge against any decision, determination or order of the Board.(2) Subject to subregulation (3) , an appeal under this regulation is to be instituted, heard and determined in accordance with the Rules of the Supreme Court 1965 relating to appeals from statutory tribunals other than courts.(3) Notwithstanding the provisions of rule 69(2) and (3) of Order 76 of Part I of the Rules of the Supreme Court 1965 , a notice of appeal under this regulation is to be served within 21 days after the date of the service on the appellant of the decision, determination or order appealed against, or any extended period a judge allows.
PART 11 - Miscellaneous
108. Duties of responsible officers and Board to provide information
(1) A responsible officer must (a) on the appointment or employment of an employee, immediately notify the Board in writing of the employee's (i) surname and given names; and(ii) date of birth; and(iii) sex and marital status; and(iv) postal address; and(v) private address; and(vi) employment status and percentage of full-time equivalent hours; and(vii) commencement date of service; and(viii) rate of salary; and(ix) [Regulation 108 Subregulation (1) amended by No. 18 of 1999, s. 97, Applied:14 May 1999] tax file number, if the employee has given permission for it to be provided to the Board; and(b) [Regulation 108 Subregulation (1) amended by No. 18 of 1999, s. 97, Applied:14 May 1999] on being notified of any changes in the information referred to in paragraph (a)(i) , (ii) , (iii) , (iv) , (v) or (ix) , notify the Board of those changes; and(c) notify the Board of any changes in the information referred to in paragraph (a)(vi) , (vii) or (viii) ; and(d) on resignation, death or retirement of an employee, furnish the Board with (i) any documents completed by the employee, his or her spouse or his or her personal representative and the responsible officer that may be necessary to support the payment of benefits accruing under these regulations; and(ii) [Regulation 108 Subregulation (1) amended by No. 18 of 1999, s. 97, Applied:14 May 1999] if the employee is a person to whom regulation 48(1) refers and the Board so requests, a certificate as to the length in years of the employee's full-time equivalent service for the period ending on 30 June 1993.(2) On receipt of information referred to in subregulation (1) , the Board must deliver or forward to the employee (a) any relevant forms, notice of election and brochures required to be provided to the employee by these regulations; and(b) information and notices required to be provided to the employee under any law of the Commonwealth for the purposes of these regulations.(3) The Board is to maintain a file in respect of each employee and is to keep on that file a copy of all notifications issued or received under this regulation.(4) [Regulation 108 Subregulation (4) substituted by No. 18 of 1999, s. 97, Applied:14 May 1999] In any proceedings against the Board (a) where a document purporting to be a copy of a notification under this regulation is on the file of an employee, that document is evidence that the notification has been issued to and received by the employee; and(b) where a document purporting to be a copy of any information given by the Board to a person relating to his or her benefit entitlement under these regulations is on the file of the relevant employee, that document is evidence that that information was given to that person.
109. Employees seconded to the Commonwealth, another State or Territory or the private sector
(1) If a contributor was transferred to the Public Service of the Commonwealth or of another State or of a Territory otherwise than in a permanent capacity before 1 July 1994, any salary paid by the Commonwealth, that State or that Territory in respect of service in that Public Service is salary within the meaning of these regulations and his or her rights and obligations under these regulations are to be adjusted accordingly.(2) [Regulation 109 Subregulation (2) substituted by S.R. 1994, No. 178, Applied:01 Jul 1994] [Regulation 109 Subregulation (2) substituted by No. 18 of 1999, s. 98, Applied:14 May 1999] A contributor or eligible employee who is seconded continues to be a contributor or eligible employee, as the case may be.(a) to the public service of the Commonwealth; or(b) to the public service of another State or a Territory; or(c) to employment in the private sector (3) [Regulation 109 Subregulation (3) inserted by No. 18 of 1999, s. 98, Applied:14 May 1999] Where a person continues to be a contributor under subregulation (2) , the employer to which the contributor is seconded must pay to the Minister or a prescribed authority an amount of employer superannuation contributions at a rate equivalent to the rate applicable to a contributor who is employed in the Agency from which the contributor was seconded.(4) [Regulation 109 Subregulation (4) inserted by No. 18 of 1999, s. 98, Applied:14 May 1999] Notwithstanding any other provision of these regulations but subject to subregulation (5) (a) the contributor must continue to pay contributions based on the current substantive salary of the position held immediately before the secondment; and(b) during the period of the secondment his or her salary is taken, for the purposes of these regulations, to be the current substantive salary of the position held immediately before the secondment.(5) [Regulation 109 Subregulation (5) inserted by No. 18 of 1999, s. 98, Applied:14 May 1999] In the case of a secondment that is approved by the Minister for the purposes of this regulation (a) the contributor must pay contributions to the contributory scheme based on the salary received during the period of the secondment; and(b) the employer to which the contributor is seconded must pay to the Minister or a prescribed authority an amount of employer superannuation contributions based on that salary and at a rate equivalent to the rate applicable to a contributor who is employed in the Agency from which the contributor was seconded; and(c) any benefit under these regulations payable to the contributor is to be determined by reference to that salary.(6) [Regulation 109 Subregulation (6) inserted by No. 18 of 1999, s. 98, Applied:14 May 1999] Where a person continues to be an eligible employee under subregulation (2) , the employer to which the employee is seconded must pay to the Minister or prescribed authority an amount of employer superannuation contributions at the prescribed rate of contribution within the meaning of regulation 46(1) .(7) [Regulation 109 Subregulation (7) inserted by No. 18 of 1999, s. 98, Applied:14 May 1999] For the purposes of calculating the employer contribution, the salary of an eligible employee referred to in subregulation (6) is taken to be the actual salary that he or she receives while seconded.(8) [Regulation 109 Subregulation (8) inserted by No. 18 of 1999, s. 98, Applied:14 May 1999] For all other purposes of these regulations, the salary of an eligible employee referred to in subregulation (6) is taken to be the substantive salary of the position that he or she held immediately before the secondment.
110. Pensions and benefits not office of profit under Crown
A person in receipt of a pension or who is entitled to a preserved benefit under regulation 63 does not, for the purposes of any Act, hold an office or place of profit under the Crown.
111. Proof of service of notices and documents
[Regulation 111 Substituted by No. 18 of 1999, s. 99, Applied:14 May 1999] A correctly addressed copy of a notice or document that is on the file of an employee is evidence that the notice or document has been served by the Board on the employee.
112. Applications for pensions and lump sum payments
(1) An application for a pension or lump sum benefit is to be in the form approved by the Board.(2) An application for a pension or lump sum benefit (a) in respect of an application by a contributor, is to be accompanied by a report relating to the application by the appropriate responsible officer; and(b) in the case of an application for an invalidity pension or an interim invalidity pension, is to be accompanied by a certificate by a legally-qualified medical practitioner (i) specifying the nature of the applicant's invalidity; and(ii) certifying that the invalidity renders the applicant unfit to continue in the performance of his or her duties or other position he or she might be required to accept; and(c) in the case of an application by a spouse of a contributor, is to be accompanied by the following documents:(i) a certificate of the birth of the widow or widower, an extract of that certificate or any other proof of the date and place of her or his birth the Board requires;(ii) subject to regulation 80 , a certificate of her or his marriage to the contributor, an extract of that certificate or any other proof of her is his marriage to the contributor the Board requires;(iii) a certificate of the death of the contributor, an extract of that certificate or any other proof of the death of the contributor the Board requires;(iv) a certificate of the birth, an extract of the certificate of birth or any other proof the Board requires of the date and place of birth of every child of the applicant or contributor who was under age 18 years, or was 18 but under age 25 years and receiving full-time education at a school, college or university at the date of the contributor's death;(v) [Regulation 112 Subregulation (2) amended by S.R. 1994, No. 178, Applied:01 Jul 1994] a report by the appropriate responsible officer specifying the information required to support the payment of the pension or lump sum benefit; and(d) [Regulation 112 Subregulation (2) amended by S.R. 1994, No. 178, Applied:01 Jul 1994] in the case of an application made by the administrator or executor on behalf of the estate of a former contributor or former eligible employee, is to be accompanied by the following documents:(i) a certificate of the death of the contributor or eligible employee, an extract of that certificate or any other proof of the death acceptable to the Board;(ii) a report by the appropriate responsible officer specifying the information required to support the payment of the pension or lump sum;(iii) evidence of the grant of probate of the will or letters of administration of the estate of the contributor or eligible employee.
113. Power of Board to seek further information
(1) The Board may require an employee or a person making an application for the payment of a benefit under these regulations (a) to provide the Board with the reports, certificates and documents referred to in regulation 112 ; or(b) to provide the Board with authority to obtain from another person any such reports, certificates or documents.(2) A requirement may be made only in relation to reports, certificates or documents that are relevant to the assessment of an application for the payment of a pension or a benefit.(3) If an employee or person fails to comply with subregulation (1) , the Board may take any action in relation to the benefit which, in the opinion of the Board, would place the employee or person as nearly as possible in the same position as he or she would have been if the subregulation had been complied with.
114. Board may withhold payment of benefits in certain instances
[Regulation 114 Inserted by No. 18 of 1999, s. 100, Applied:14 May 1999] The Board may withhold payment of benefits payable under these regulations if, after an investigation by the Board, the Board has a reasonable doubt as to whether or not the recipient is entitled to receive the benefit.
SCHEDULE 1 - Provision with respect to election of members of Board
1. InterpretationIn this Part appointed day means the day appointed for holding an election under clause 3 ;election means an election of a member of the Board referred to in regulation 7(1)(b) ;returning officer means a person appointed by the Board under clause 2 .
2. Appointment and functions of returning officer(1) The Board must appoint a person as the returning officer for the purposes of an election of a member of the Board.(2) The returning officer, if he or she is otherwise qualified to vote at the relevant election, is entitled to vote in the same manner as if he or she had not been appointed the returning officer for that election.(3) The returning officer, subject to these regulations, is to determine all questions of detail relating to the relevant election and the validity or otherwise of any ballot paper.
3. Notice of holding election(1) The Board, by notice in the Gazette, is to appoint a day for the holding of an election.(2) A notice under subclause (1) is to specify (a) the place at which it is proposed to hold the election to which the notice relates; and(b) the day, being not less than 21 days before the appointed day, and the hour of that day on or before which nominations are to be received by the returning officer.
4. Nominations(1) A nomination of a person as a candidate for an election (a) is to be in accordance with Form 1; and(b) is to be signed by 2 persons who (i) are contributors, in respect of a nomination of a person to be a member of the Board under regulation 7(1)(b)(i) ; or(ii) [Schedule 1 Amended by S.R. 1994, No. 178, Applied:01 Jul 1994] are eligible employees, in respect of a nomination of a person to be a member of the Board under regulation 7(1)(b)(ii) ; or(c) is to state the full name of the person nominated; and(d) subject to subclause (2) , is to contain the written consent of the person nominated; and(e) is to be forwarded to, or lodged at, the office of the returning officer at or before the hour specified in a notice under clause 3 .(2) A person who is nominated as a candidate for an election if the facsimile or letter is received by the returning officer before the hour specified in a notice under clause 3 .(a) in the case of a person who is not absent from Tasmania at the time of his or her nomination, may signify consent to the returning officer by facsimile; or(b) in the case of a person who is so absent, may signify consent to the returning officer (i) by facsimile; or(ii) by letter sent by post or affixed to the nomination form (3) [Schedule 1 Amended by No. 18 of 1999, s. 101, Applied:14 May 1999] Where a person nominates to be a member of the Board under regulation 7(1)(b)(i) and (ii) , he or she must notify the returning officer in writing, at the time of so nominating, which position he or she will accept in the event that he or she is successful in both elections.(4) [Schedule 1 Amended by No. 18 of 1999, s. 101, Applied:14 May 1999] The returning officer must not disclose to any person a notification under subclause (3) until he or she has complied with clause 11 and it is necessary to do so.Penalty: For breach of this subclause, 5 penalty units.
5. Persons declared elected without electionIf only one person is nominated as a candidate for an election, the returning officer must (a) immediately declare that person elected; and(b) [Schedule 1 Amended by S.R. 1996, No. 168, Applied:04 Dec 1996] report to the Board and the Minister accordingly.
6. Where an election must take place(1) If more than one person is nominated as a candidate for an election, the returning officer must (a) cause to be printed a sufficient number of ballot papers in accordance with Form 2; and(b) not less than 14 days before the appointed day, deliver or send by post to every employee who is entitled to vote at the election (i) a ballot paper bearing the returning officer's signature or initials written or stamped on the back; and(ii) an envelope addressed to the returning officer to contain the ballot paper when returned and having endorsed on its flap a certificate by the returning officer that the person to whom it is addressed is entitled to vote at the election.(2) The responsible officer of each Agency, not less than 21 days before the appointed day, must provide the returning officer with a true and complete list of all employees employed in that Agency who are entitled to vote at the election.
7. Employees who are entitled to voteAn employee is entitled to vote at an election if (a) in the case of the election of a person as a member of the Board under regulation 7(1)(b)(i) , he or she is a contributor; or(b) in the case of the election of a person as a member of the Board under regulation 7(1)(b)(ii) , he or she is an eligible employee.
8. Method of votingA contributor or an eligible employee who votes at an election must (a) mark the ballot paper in the manner provided by the Electoral Act 1985 in respect of an election of one member for an electoral division under that Act; and(b) sign his or her name on the certificate on the envelope sent by the returning officer; and(c) fold up the ballot paper so that the vote cannot be seen and deliver or send it by prepaid post, enclosed in the envelope sent by the returning officer so that the ballot paper reaches the returning officer, not later than the time for the close of business on the appointed day.
9. Scrutineers(1) The returning officer may appoint 2 scrutineers for an election, and a candidate, by writing addressed to the returning officer, may appoint one scrutineer for an election.(2) A scrutineer appointed under subclause (1) may be present when the counting of votes takes place at the election.
10. Scrutiny of votes(1) All ballot papers received by the returning officer not later than the time prescribed by clause 8(c) are to be dealt with at the scrutiny which must take place as soon as practicable after that time.(2) The returning officer, immediately before the scrutiny and in the presence of any scrutineers present, must (a) open every envelope containing a ballot paper; and(b) without inspecting or unfolding the ballot paper contained in the envelope, deposit the ballot paper in a locked ballot box.(3) The returning officer, in the presence of any scrutineers present, must (a) open the ballot box and take out ballot papers deposited in it; and(b) count the votes recorded on the ballot papers in accordance with the Electoral Act 1985 ; and(c) reject every ballot paper that is informal.(4) For the purposes of subclause (3) , a ballot paper is informal if (a) it does not bear the signature or the initials of the returning officer;(b) it bears a mark by which the voter can be identified; or(c) it does not reach the returning officer in a closed envelope at or before the time prescribed by clause 8(c) .(5) If there is an equal number of votes for 2 or more candidates, the returning officer, in accordance with the Electoral Act 1985 , must decide which of those candidates is to be elected or discarded.(6) The returning officer must preserve the ballot papers, envelopes in which the ballot papers were received and other papers connected with the election for a period of not less than 3 months after the election.
11. Result of electionAfter counting the votes, the returning officer must (a) declare elected the candidate who first receives an absolute majority of the votes cast at the election; and(b) [Schedule 1 Amended by S.R. 1996, No. 168, Applied:04 Dec 1996] report to the Board and the Minister accordingly.
Form 1 - NOMINATION OF CANDIDATE FOR ELECTION AS MEMBER OF RETIREMENT BENEFITS FUND BOARD
Form 2 - BALLOT PAPER FOR ELECTION OF MEMBER OF RETIREMENT BENEFITS FUND BOARD
SCHEDULE 2 - Provisions with respect to appointment and terms and conditions of employment of officers of Board
1. Age of officersA person who has attained age 65 years is not to be appointed as an officer of the Board and an officer of the Board who attains that age ceases to be so employed.
2. Officers to perform functions determined by the BoardAn officer of the Board must perform (a) any functions specified in the instrument of appointment; and(b) any functions the Board determines.
3. Certain terms and conditions of employment of officers to be determined by the Board(1) The terms and conditions of employment, including remuneration, allowances and entitlements of officers of the Board, subject to this Schedule and any Act, and to any award, enterprise agreement or industrial agreement relating to persons engaged in the work for which they are appointed, are to be determined by the Board.(2) An officer of the Board may be dismissed if the officer (a) is unfit to discharge, or incapable of discharging, the functions of his or her office efficiently; or(b) is not discharging the functions of his or her office efficiently, satisfactorily, with due care or in the best interests of the Board; or(c) is not qualified, either temperamentally or otherwise, for the efficient and satisfactory performance of the functions of his or her office.
4. Terms of appointment and functions of Secretary(1) A person appointed as Secretary to the Board (a) is entitled to any remuneration and allowances determined by the Board or in accordance with any Act; and(b) holds that position for a term, not exceeding 5 years, and on any conditions, the Board determines; and(c) must not engage in paid employment outside the duties of the position unless the Board has approved that employment.(2) The functions of the Secretary are to (a) ensure that the decisions and operations of the officers of the Board are directed towards achieving the objectives and policies of the Board; and(b) ensure that the Board has access to the skills, facilities and resources required to achieve its objectives and policies; and(c) ensure that the Board's operations are conducted in an efficient, effective and economic manner; and(d) manage the research and development activities of the Board including the provision of advice to the Board, and the Government on issues affecting the Act.
5. Superannuation and long service leaveAn officer and the Secretary of the Board (a) is entitled to benefits under these regulations; and(b) is an employee for the purposes of the Long Service Leave (State Employees) Act 1994 .
6. Officers of Board subject to awards under Industrial Relations Act 1984An officer of the Board is entitled to any salary and allowances determined by an award, industrial agreement or enterprise agreement under the Industrial Relations Act 1984 .
7. Candidature for election as Member of ParliamentFor the purposes of regulation 9 , a person becomes a candidate for election as a member of a House of Parliament when the person is nominated for that election in accordance with the law regulating the election.
8. Reappointment of former officers(1) If a person who the Board may reappoint that person to his or her former office without the fulfilment of any conditions otherwise required for making the appointment.(a) was an officer of the Board; and(b) ceased to be such an officer on becoming a candidate for election as a member of a House of Parliament as provided by clause 7 ; and(c) was a candidate at that election; and(d) failed to be elected; and(e) applies, within 3 months after the declaration of the result of that election, for his or her former office (2) If a person is reappointed, the person, subject to subclause (3) , holds that office in all respects as if he or she had been absent on leave without pay from that office for the period from the day he or she ceased to be an officer to the day before the day on which he or she was reappointed.(3) For the purpose of the application of the Long Service Leave (State Employees) Act 1994 , if a person reappointed became entitled, by reason of ceasing to be an officer under regulation 9 , to an allowance under that Act, the person, for the purpose of subclause (2) , must be treated in respect of the period in respect of which the amount of the allowance is calculated under regulation 9(6) , or so much of that period as had expired before the reappointment took effect, as if absent, not on leave without pay, but on long service leave under that Act.(4) If a person's reappointment takes effect before the expiration of the period mentioned in subclause (3) , the whole period, for the purposes of subclause (2) , is taken to have expired on the day before the reappointment took effect.(5) If the rights of a person reappointed have been changed on ceasing to be an officer, in respect of pension, pay in lieu of leave or otherwise, all necessary payments, repayments and entries are to be made to put the person in the same position as if he or she had been absent on leave without pay.
SCHEDULE 3 - Calculation of certain pensions in respect of former contributors under repealed Act
1. Interpretation(1) In this Schedule average annual salary means the average annual salary that the contributor received in respect of the 12 months before retirement or death;contributor means a person, who immediately before 1 July 1994, was a contributor, other than an amalgamated contributor or a provident fund contributor, within the meaning of the repealed Act and who continued as a contributor within the meaning of Part 4 .(2) For the purposes of this Schedule, if at any time during the period of 12 months immediately before retirement or death, a contributor has been absent on leave without pay or on less than full pay, the contributor's average annual salary is to be calculated as if he or she had continued to be employed in the same capacity on full pay during the whole of that period.(3) [Schedule 3 Amended by No. 18 of 1999, s. 102, Applied:14 May 1999] This Schedule is subject to Part 7A .
2. Determination of prospective service for purpose of calculation of invalidity pension(1) If the Board determines under regulation 96 that a contributor is suffering from invalidity, the prospective service for the purpose of clause 7 is to commence on the day immediately following the actual date of retirement and end on the day on which he or she attains (a) the age for retirement, in the case of a contributor other than a police officer as at 1 April 1987; or(b) age 60 years, in the case of a contributor as at 1 April 1987 who is a police officer; or(c) age 55 years, in the case of any other contributor.(2) If the Board determines under regulation 96 that a contributor is suffering from partial and permanent incapacity, the prospective service for the purposes of clause 7 commences on the day immediately following the actual date of retirement and end on the day on which he or she attains (a) age 60 years, in the case of an employee who was a contributor to the Fund as at 1 April 1987; or(b) age 55 years, in any other case.
3. Determination of service for permanent part-time employeesFor the purposes of calculating the pension to be paid to a contributor who is a permanent part-time employee, the length of service as a part-time employee is to be adjusted to equivalent service in a full-time capacity.
4. Determination of salary for permanent part-time employeesFor the purpose of calculating the pension to be paid to a contributor who is a permanent part-time employee, his or her salary is the average annual salary the contributor would have received if the contributor had been employed as a full-time employee in the office or position held by the contributor.
5. Pension payable to contributor for full or limited benefits on retirement due to ageThe pension payable to a contributor for full or limited benefits to whom regulation 36 applies is an annual sum calculated in accordance with the following formula:where P is the annual amount of pension;FAS(1) is (a) the average annual salary received by a contributor in respect of the year preceding resignation, death or retirement; or(b) in the case of a contributor whose length of service at the time of resignation, death or retirement is less than one year, the average annual salary received in respect of the actual period of service;ABMF is the contributor's adjusted benefit multiple factor, calculated by taking the rate or rates of contribution made by the contributor and multiplying the benefit multiple factor prescribed for that rate or those rates of contribution under regulation 33 by the contributor's length of service in years at that rate or for each of those rates of contribution and accumulating each result obtained from those multiplications;PP is the percentage of the lump sum benefit payable under regulation 36 that the contributor has elected, under regulation 77 , to be converted to a pension;ERP is the early retirement penalty calculated in accordance with clause 9 .
6. Pension payable to contributors for full or limited benefits due to redundancy or compulsory retirement[Schedule 3 Amended by No. 19 of 1998, Applied:19 Jun 1998] The pension payable to a contributor for full or limited benefits to whom regulation 37 or 37A applies and who is aged 55 years or over is an annual sum calculated in accordance with the following formula:where P is the annual amount of pension;FAS(1) is (a) the average annual salary received by a contributor in respect of the year preceding resignation, death or retirement; or(b) in the case of a contributor whose length of service at the time of resignation, death or retirement is less than one year, the average annual salary received in respect of the actual period of service;ABMF is the contributor's adjusted benefit multiple factor, calculated by taking the rate or rates of contribution made by the contributor and multiplying the benefit multiple factor prescribed for that rate or those rates of contribution under regulation 33 by the contributor's length of service in years at that rate or for each of those rates of contribution and accumulating each result obtained from those multiplications;[Schedule 3 Amended by No. 19 of 1998, Applied:19 Jun 1998] PP is the percentage of the lump sum benefit payable under regulation 37 or 37A that the contributor has elected, under regulation 77 , to be converted to a pension;ERP is the early retirement penalty calculated in accordance with clause 9 .
7. Pension payable to contributor for full benefits on retirement due to invalidity or partial and permanent incapacity(1) The pension payable to a contributor for full benefits is an annual sum calculated in accordance with the following formula:where (a) to whom regulation 38(1)(a) applies; or(b) to whom the Board, under regulation 96 , has determined that a pension is payable P is the annual amount of pension;FAS(1) is (a) the average annual salary received by a contributor in respect of the year preceding resignation, death or retirement; or(b) in the case of a contributor whose length of service at the time of resignation, death or retirement is less than one year, the average annual salary received in respect of the actual period of service;ABMF is the contributor's adjusted benefit multiple factor, calculated by taking the rate or rates of contribution made by the contributor and multiplying the benefit multiple factor prescribed for that rate or those rates of contribution under regulation 33 by the contributor's length of service in years at that rate or for each of those rates of contribution and accumulating each result obtained from those multiplications;PBMF is the contributor's prospective benefit multiple factor, calculated by taking the basic contribution rate applicable to the contributor and multiplying the benefit multiple factor prescribed for that rate of contribution under regulation 33 by the contributor's length of service in years commencing on and from the date of his or her retirement and concluding (a) f the contributor has retired due to invalidity, on the date he or she attains the age provided in clause 2(1) ; or(b) if the contributor has retired due to partial and permanent incapacity, on the date he or she attains the age provided in clause 2(2) .(2) The pension payable to an amalgamated contributor to whom the Board, under regulation 96 , has determined that a pension is payable is an annual sum calculated in accordance with the following formula:where P is the annual amount of pension payable;SB is the pension value of the units purchased by the contributor under the Superannuation Act 1938 as at 30 June 1982;DS is the differential salary of the amalgamated contributor being the FAS(1) of that contributor less the annual salary payable in respect of that contributor as at 30 June 1982.
8. Pension payable to contributor for full or limited benefits who retires after attaining the age of retirementThe pension payable to a contributor for full or limited benefits to whom regulation 42 applies is an annual sum calculated in accordance with the following formula:where P is the annual amount of pension;FAS(1) is (a) the average annual salary received by a contributor in respect of the year preceding resignation, death or retirement; or(b) in the case of a contributor whose length of service at the time of resignation, death or retirement is less than one year, the average annual salary received in respect of the actual period of service;ABMF is the contributor's adjusted benefit multiple factor, calculated by taking the rate or rates of contribution made by the contributor and multiplying the benefit multiple factor prescribed for that rate or those rates of contribution under regulation 33 by the contributor's length of service in years to the age of retirement at that rate or for each of those rates of contribution and accumulating each result obtained from those multiplications;PP is the percentage of the lump sum benefit payable under regulation 42 that the contributor has elected, under regulation 77 , to be converted to a pension;PBMF is the contributor's post age of retirement benefit multiple factor, calculated by taking the basic contribution rate applicable to the contributor and multiplying the benefit multiple factor prescribed for that rate of contribution under regulation 33 by the contributor's length of service in years commencing on and from the contributor's age for retirement and concluding on the date of the contributor's actual retirement or at the age of 70 years, whichever is the earlier.
9. Early retirement penalty(1) If a contributor to whom clauses 5 and 6 apply, other than a police officer or a female employee who commenced her service before 1 July 1982, retires, the amount of pension to which he or she is entitled is, subject to subclause (2) , to be reduced by 1% for each 3 months or part of 3 months by which the contributor retires before attaining the age of 60 years.(2) A reduction is not to be made under subclause (1) to the amount of pension payable to a contributor if, at the time when the contributor becomes entitled to the pension, the pension before an election under regulation 77 is made is greater than or equal to two-thirds of his or her average annual salary in the year immediately preceding retirement.
SCHEDULE 4 - Transferred TCAE Employees[Schedule 4 Inserted by S.R. 1995, No. 35, Applied:28 Jun 1995]
1. InterpretationIn this Schedule transferred TCAE employee means a person referred to in (a) section 5 of the Superannuation (Transferred Tasmanian College of Advanced Education Employees) Act 1980 ; or(b) section 5 of the Retirement Benefits (Transferred Tasmanian College of Advanced Education Employees) Act 1980 ;University Council means the Council of the University of Tasmania established under the University of Tasmania Act 1992 .
2. Liability of University Council(1) If, on or after 1 July 1994, a transferred TCAE employee becomes entitled to a pension, benefit or other payment under these regulations (a) the University Council is to pay to the Board the proportion of the pension, benefit or other payment calculated in accordance with the formula set out in subclause (2) ; and(b) [Schedule 4 Amended by S.R. 1996, No. 168, Applied:04 Dec 1996] the Minister is to pay to the Board the balance of that part.(2) The liability of the University Council is determined by the following formula:where L is the liability of the University Council;S is the total period of service as an employee of the University Council;C is the total period during which contributions were made to the Fund by the employee;PA is the total amount of pensions, benefits or other payments that would be payable under the Act;PF is the amount of pension, benefit or other payment that is chargeable to the Fund.(3) If a pension, benefit or other payment is payable under the Act (a) [Schedule 4 Amended by No. 18 of 1999, Sched. 4, Applied:14 May 1999] regulation 90 has effect in relation to that pension, benefit or other payment as if the University of Tasmania were a prescribed authority; and(b) that pension, benefit or other payment is payable by the University Council out of money available to that Council for the purposes of the University of Tasmania Act 1992 .
3. Liability of University Council unaffected in certain casesThe following Acts do not affect the liability of the University Council to pay the proportion of benefits for a transferred TCAE employee who, before 1 July 1994, ceased to be such an employee if, immediately before that date, the University Council was paying to the Board a proportion of that part of the pension, benefit or other payment previously calculated under any of those Acts:(a) Retirement Benefits (Transferred Tasmanian College of Advanced Education Employees) Act 1980 ;(b) Superannuation (Transferred Tasmanian College of Advanced Education Employees) Act 1980 ;(c) Retirement Benefits Act 1993 .
Displayed and numbered in accordance with the Rules Publication Act 1953.
Notified in the Gazette on 22 June 1994
These regulations are administered in the Department of Treasury and Finance.





























